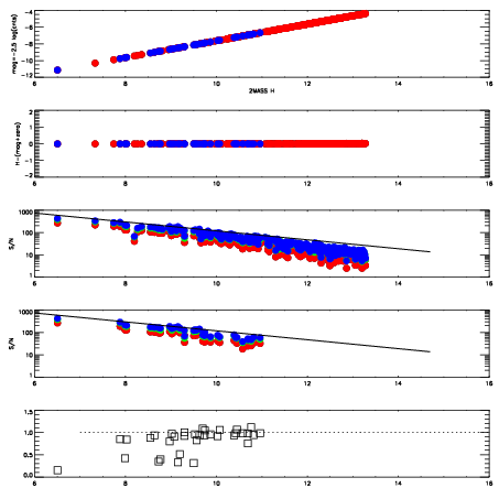
Left plots: red are targets, blue are telluric. Observed mags are calculated from median value of green chip. Zeropoint gives overall throughput: bigger number is more throughput.
First spatial plots: circles are objects, squares are tellurics, crosses are sky fibers. Colors give deviation of observed mag from expected 2MASS mag using the median zeropoint; red is brighter
Second spatial plots: circles are sky fibers. Colors give sky line brightness relative to plate median sky line brightness
FrameNreadsZeropointsMag plots Spatial mag deviation Spatial sky 16325A emission deviations (filled: sky, open: star) Spatial sky continuum emission Spatial sky telluric CO2 absorption deviations (filled: H < 10)
0 0
RedGreenBlue
z17.64
znorm Inf
sky -Inf -Inf -Inf
S/N 12.1 20.8 21.5
S/N(c) 0.0 0.0 0.0
SN(E/C) 0.93

IPAIRNAMESHIFTNEWSHIFTS/N NAMESHIFTNEWSHIFTS/N
0 12620028 0.488004 0.00000 16.1717 12620026 0.00158215 0.486422 16.7206
1 12620024 0.487879 0.000124991 18.5942 12620025 0.000600572 0.487403 18.3328
2 12620023 0.486968 0.00103599 18.4711 12620022 0.00000 0.488004 18.1915
3 12620027 0.487079 0.000925004 17.3586 12620029 -0.000236621 0.488241 17.4834