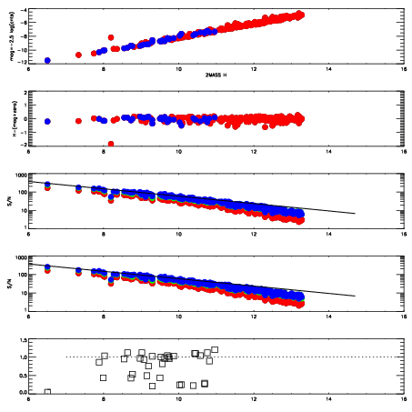
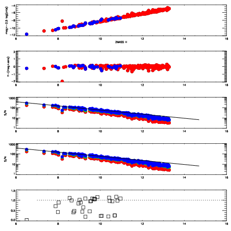
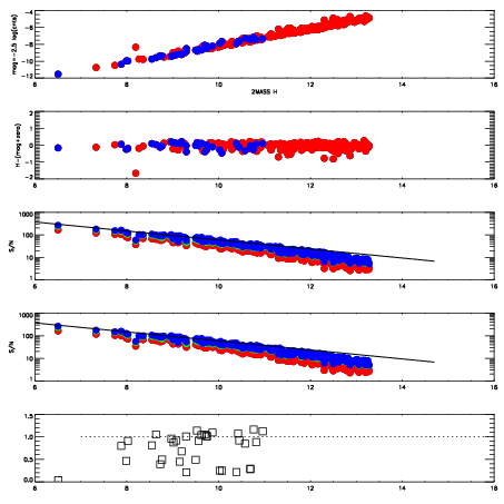
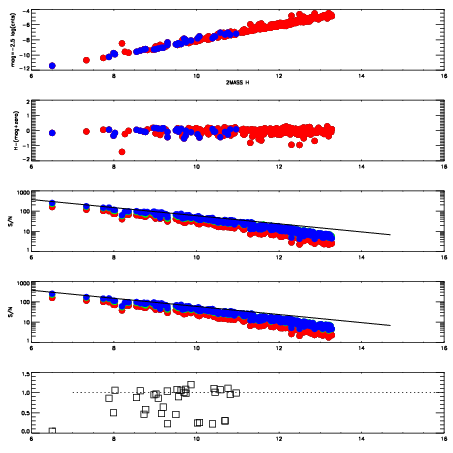
Frame | Nreads | Zeropoints | Mag plots
| Spatial mag deviation
| Spatial sky 16325A emission deviations (filled: sky, open: star)
| Spatial sky continuum emission
| Spatial sky telluric CO2 absorption deviations (filled: H < 10)
|
12720034
| 47
| | Red | Green | Blue
| z | | 18.08
| znorm | | 13.90
| sky | 14.4 | 14.3 | 14.4
| S/N | 7.5 | 13.5 | 12.6
| S/N(c) | 16.1 | 6.1 | 21.8
| SN(E/C) | 0.90
|
|
|
|
|
|
|
12720035
| 47
| | Red | Green | Blue
| z | | 18.17
| znorm | | 13.99
| sky | 14.9 | 14.5 | 14.9
| S/N | 8.1 | 14.3 | 14.7
| S/N(c) | 16.8 | 6.3 | 23.2
| SN(E/C) | 0.93
|
|
|
|
|
|
|
12720036
| 47
| | Red | Green | Blue
| z | | 18.20
| znorm | | 14.02
| sky | 14.7 | 14.6 | 14.7
| S/N | 8.4 | 14.8 | 14.9
| S/N(c) | 17.4 | 6.6 | 24.0
| SN(E/C) | 0.87
|
|
|
|
|
|
|
12720037
| 47
| | Red | Green | Blue
| z | | 18.04
| znorm | | 13.86
| sky | 14.8 | 14.6 | 14.7
| S/N | 7.5 | 13.2 | 13.2
| S/N(c) | 16.0 | 5.9 | 21.8
| SN(E/C) | 0.92
|
|
|
|
|
|
|
12720038
| 47
| | Red | Green | Blue
| z | | 18.21
| znorm | | 14.03
| sky | 14.9 | 14.7 | 14.8
| S/N | 8.4 | 14.9 | 14.9
| S/N(c) | 18.3 | 6.7 | 24.8
| SN(E/C) | 0.93
|
|
|
|
|
|
|
12720039
| 47
| | Red | Green | Blue
| z | | 18.31
| znorm | | 14.13
| sky | 14.9 | 14.7 | 14.9
| S/N | 9.2 | 15.9 | 16.0
| S/N(c) | 19.5 | 7.0 | 26.4
| SN(E/C) | 0.89
|
|
|
|
|
|
|
12720040
| 47
| | Red | Green | Blue
| z | | 18.33
| znorm | | 14.15
| sky | 14.9 | 14.8 | 14.8
| S/N | 9.5 | 16.1 | 16.0
| S/N(c) | 19.4 | 7.1 | 26.4
| SN(E/C) | 0.85
|
|
|
|
|
|
|
12720041
| 47
| | Red | Green | Blue
| z | | 18.42
| znorm | | 14.24
| sky | 14.6 | 14.7 | 14.8
| S/N | 10.0 | 16.6 | 17.2
| S/N(c) | 20.9 | 7.5 | 27.8
| SN(E/C) | 0.87
|
|
|
|
|
|
|