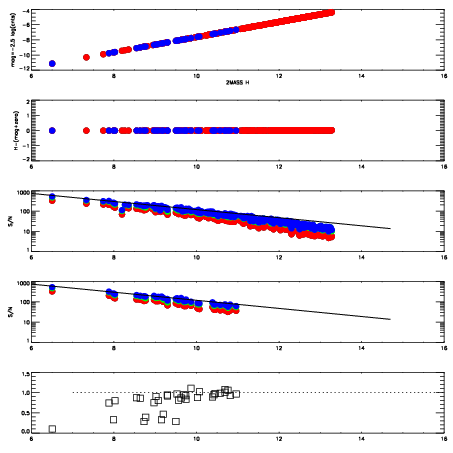
Left plots: red are targets, blue are telluric. Observed mags are calculated from median value of green chip. Zeropoint gives overall throughput: bigger number is more throughput.
First spatial plots: circles are objects, squares are tellurics, crosses are sky fibers. Colors give deviation of observed mag from expected 2MASS mag using the median zeropoint; red is brighter
Second spatial plots: circles are sky fibers. Colors give sky line brightness relative to plate median sky line brightness
FrameNreadsZeropointsMag plots Spatial mag deviation Spatial sky 16325A emission deviations (filled: sky, open: star) Spatial sky continuum emission Spatial sky telluric CO2 absorption deviations (filled: H < 10)
0 0
RedGreenBlue
z17.64
znorm Inf
sky -Inf -Inf -Inf
S/N 15.0 28.1 27.8
S/N(c) 0.0 0.0 0.0
SN(E/C) 0.88

IPAIRNAMESHIFTNEWSHIFTS/N NAMESHIFTNEWSHIFTS/N
0 12720036 0.489472 0.00000 18.2075 12720034 0.00000 0.489472 18.0772
1 12720040 0.488701 0.000771016 18.3256 12720041 -0.000639781 0.490112 18.4248
2 12720039 0.488325 0.00114700 18.3138 12720038 -0.00189874 0.491371 18.2146
3 12720035 0.489028 0.000443995 18.1464 12720037 -0.00186365 0.491336 18.0341