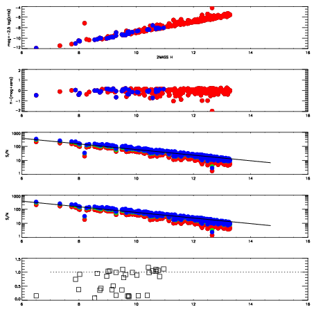
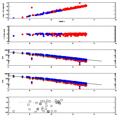
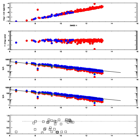
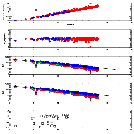
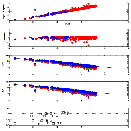
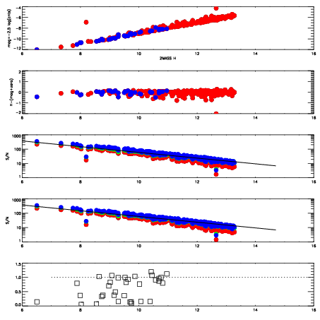
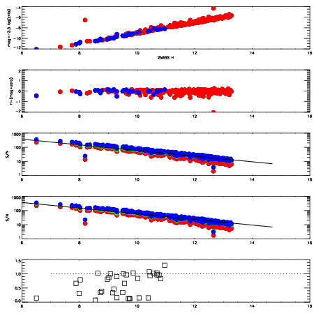
Frame | Nreads | Zeropoints | Mag plots
| Spatial mag deviation
| Spatial sky 16325A emission deviations (filled: sky, open: star)
| Spatial sky continuum emission
| Spatial sky telluric CO2 absorption deviations (filled: H < 10)
|
12740032
| 47
| | Red | Green | Blue
| z | | 18.79
| znorm | | 14.61
| sky | 14.6 | 14.2 | 14.2
| S/N | 12.8 | 20.6 | 20.4
| S/N(c) | 19.1 | 7.8 | 18.1
| SN(E/C) | 0.81
|
|
|
|
|
|
|
12740033
| 47
| | Red | Green | Blue
| z | | 18.86
| znorm | | 14.68
| sky | 14.6 | 14.3 | 14.5
| S/N | 13.2 | 21.3 | 22.2
| S/N(c) | 19.9 | 8.1 | 19.1
| SN(E/C) | 0.84
|
|
|
|
|
|
|
12740034
| 47
| | Red | Green | Blue
| z | | 18.80
| znorm | | 14.62
| sky | 14.6 | 14.4 | 14.5
| S/N | 12.5 | 21.0 | 21.2
| S/N(c) | 19.2 | 7.9 | 18.5
| SN(E/C) | 0.81
|
|
|
|
|
|
|
12740035
| 47
| | Red | Green | Blue
| z | | 18.91
| znorm | | 14.73
| sky | 14.6 | 14.4 | 14.6
| S/N | 13.8 | 22.0 | 22.9
| S/N(c) | 20.6 | 8.4 | 19.6
| SN(E/C) | 0.86
|
|
|
|
|
|
|
12740036
| 47
| | Red | Green | Blue
| z | | 18.87
| znorm | | 14.69
| sky | 14.6 | 14.4 | 14.6
| S/N | 13.1 | 21.6 | 22.9
| S/N(c) | 20.0 | 8.2 | 19.6
| SN(E/C) | 0.77
|
|
|
|
|
|
|
12740037
| 47
| | Red | Green | Blue
| z | | 18.95
| znorm | | 14.77
| sky | 14.7 | 14.6 | 14.6
| S/N | 14.2 | 22.5 | 23.6
| S/N(c) | 21.2 | 8.6 | 20.6
| SN(E/C) | 0.76
|
|
|
|
|
|
|
12740038
| 47
| | Red | Green | Blue
| z | | 18.96
| znorm | | 14.78
| sky | 14.5 | 14.6 | 14.6
| S/N | 14.1 | 22.9 | 24.3
| S/N(c) | 21.2 | 8.6 | 20.8
| SN(E/C) | 0.77
|
|
|
|
|
|
|
12740039
| 47
| | Red | Green | Blue
| z | | 19.01
| znorm | | 14.83
| sky | 14.5 | 14.5 | 14.6
| S/N | 14.3 | 23.6 | 24.9
| S/N(c) | 22.2 | 8.9 | 21.4
| SN(E/C) | 0.79
|
|
|
|
|
|
|