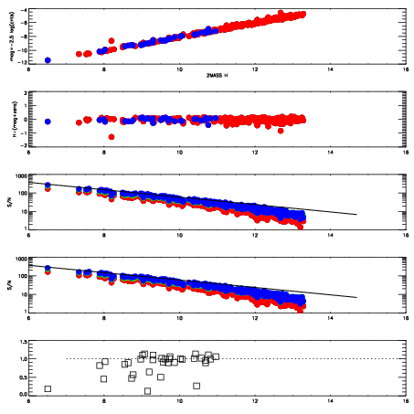
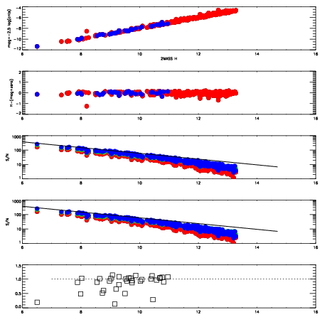
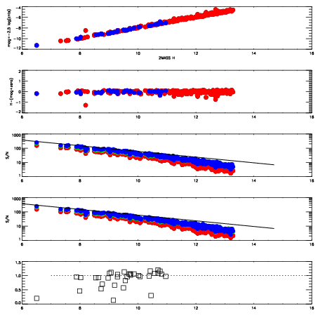
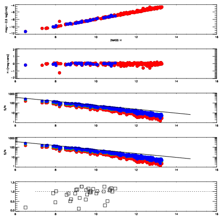
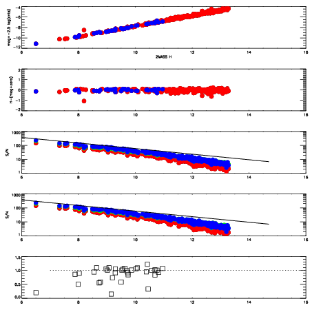
Frame | Nreads | Zeropoints | Mag plots
| Spatial mag deviation
| Spatial sky 16325A emission deviations (filled: sky, open: star)
| Spatial sky continuum emission
| Spatial sky telluric CO2 absorption deviations (filled: H < 10)
|
12290035
| 47
| | Red | Green | Blue
| z | | 17.77
| znorm | | 13.59
| sky | 14.8 | 14.4 | 14.4
| S/N | 5.7 | 10.6 | 9.8
| S/N(c) | 7.8 | 10.3 | 5.5
| SN(E/C) | 0.99
|
|
|
|
|
|
|
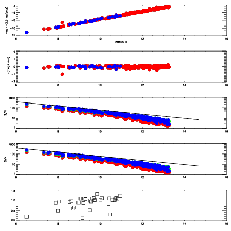
12290036
| 47
| | Red | Green | Blue
| z | | 17.98
| znorm | | 13.80
| sky | 14.5 | 14.3 | 14.5
| S/N | 6.3 | 11.7 | 11.2
| S/N(c) | 8.8 | 11.6 | 6.3
| SN(E/C) | 0.94
|
|
|
|
|
|
|
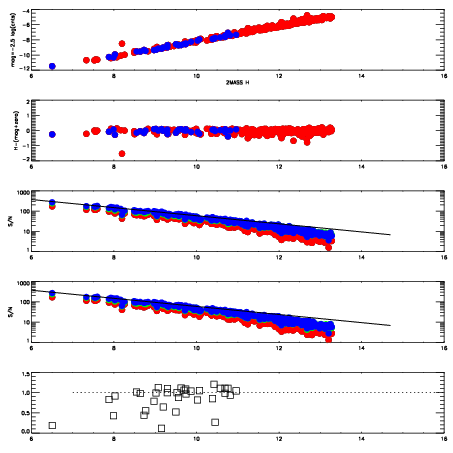
12290037
| 47
| | Red | Green | Blue
| z | | 18.11
| znorm | | 13.93
| sky | 14.7 | 14.3 | 14.5
| S/N | 6.9 | 12.6 | 12.7
| S/N(c) | 9.5 | 12.5 | 6.8
| SN(E/C) | 0.95
|
|
|
|
|
|
|
12290038
| 47
| | Red | Green | Blue
| z | | 17.63
| znorm | | 13.45
| sky | 14.8 | 14.6 | 14.6
| S/N | 4.9 | 9.4 | 8.9
| S/N(c) | 6.6 | 9.4 | 5.1
| SN(E/C) | 0.96
|
|
|
|
|
|
|
12290039
| 47
| | Red | Green | Blue
| z | | 17.77
| znorm | | 13.59
| sky | 14.7 | 14.5 | 14.6
| S/N | 5.6 | 10.4 | 9.9
| S/N(c) | 7.4 | 10.1 | 5.6
| SN(E/C) | 0.95
|
|
|
|
|
|
|
12290040
| 47
| | Red | Green | Blue
| z | | 17.95
| znorm | | 13.77
| sky | 14.6 | 14.4 | 14.5
| S/N | 6.2 | 11.6 | 11.1
| S/N(c) | 8.4 | 11.3 | 6.3
| SN(E/C) | 0.96
|
|
|
|
|
|
|
12290041
| 47
| | Red | Green | Blue
| z | | 17.96
| znorm | | 13.78
| sky | 15.0 | 14.6 | 14.6
| S/N | 6.4 | 11.6 | 11.4
| S/N(c) | 8.5 | 11.4 | 6.3
| SN(E/C) | 0.95
|
|
|
|
|
|
|
12290042
| 47
| | Red | Green | Blue
| z | | 18.23
| znorm | | 14.05
| sky | 14.4 | 14.4 | 14.3
| S/N | 7.4 | 13.6 | 12.9
| S/N(c) | 10.0 | 13.0 | 7.3
| SN(E/C) | 0.98
|
|
|
|
|
|
|