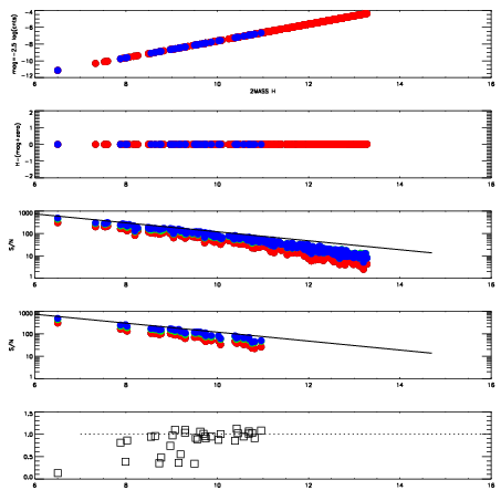
Left plots: red are targets, blue are telluric. Observed mags are calculated from median value of green chip. Zeropoint gives overall throughput: bigger number is more throughput.
First spatial plots: circles are objects, squares are tellurics, crosses are sky fibers. Colors give deviation of observed mag from expected 2MASS mag using the median zeropoint; red is brighter
Second spatial plots: circles are sky fibers. Colors give sky line brightness relative to plate median sky line brightness
FrameNreadsZeropointsMag plots Spatial mag deviation Spatial sky 16325A emission deviations (filled: sky, open: star) Spatial sky continuum emission Spatial sky telluric CO2 absorption deviations (filled: H < 10)
0 0
RedGreenBlue
z17.64
znorm Inf
sky -Inf -Inf -NaN
S/N 10.6 20.0 19.9
S/N(c) 0.0 0.0 0.0
SN(E/C) 0.94

IPAIRNAMESHIFTNEWSHIFTS/N NAMESHIFTNEWSHIFTS/N
0 12290041 0.495271 0.00000 17.9409 12290039 -0.00146485 0.496736 17.7583
1 12290037 0.494742 0.000528991 18.0885 12290042 -0.000349546 0.495621 18.1945
2 12290036 0.494333 0.000937998 17.9677 12290035 0.00000 0.495271 17.7599
3 12290040 0.494844 0.000427008 17.9297 12290038 -0.00176183 0.497033 17.6114