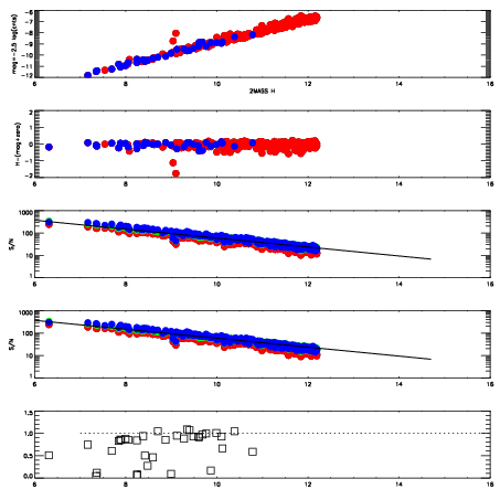
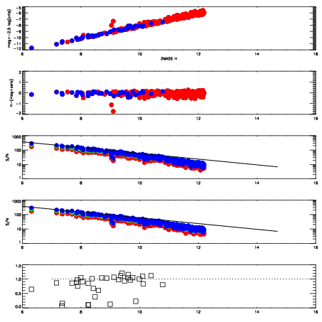
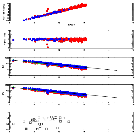
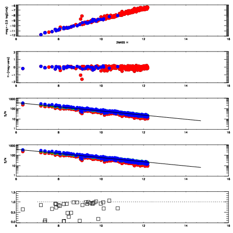
Frame | Nreads | Zeropoints | Mag plots
| Spatial mag deviation
| Spatial sky 16325A emission deviations (filled: sky, open: star)
| Spatial sky continuum emission
| Spatial sky telluric CO2 absorption deviations (filled: H < 10)
|
12320066
| 47
| | Red | Green | Blue
| z | | 18.83
| znorm | | 14.65
| sky | 14.0 | 13.8 | 14.0
| S/N | 13.9 | 20.6 | 20.8
| S/N(c) | 17.1 | 5.7 | 11.6
| SN(E/C) | 0.82
|
|
|
|
|
|
|
12320067
| 47
| | Red | Green | Blue
| z | | 18.83
| znorm | | 14.65
| sky | 14.0 | 13.9 | 14.1
| S/N | 13.9 | 21.0 | 21.0
| S/N(c) | 17.5 | 5.7 | 11.8
| SN(E/C) | 0.87
|
|
|
|
|
|
|
12320068
| 47
| | Red | Green | Blue
| z | | 18.17
| znorm | | 13.99
| sky | 12.3 | 12.2 | 12.2
| S/N | 6.6 | 10.3 | 10.1
| S/N(c) | 9.5 | 3.2 | 6.8
| SN(E/C) | 0.91
|
|
|
|
|
|
|
12320069
| 47
| | Red | Green | Blue
| z | | 18.79
| znorm | | 14.61
| sky | 14.1 | 13.9 | 14.1
| S/N | 13.6 | 20.8 | 20.7
| S/N(c) | 16.7 | 5.5 | 11.5
| SN(E/C) | 0.85
|
|
|
|
|
|
|
12320070
| 47
| | Red | Green | Blue
| z | | 18.86
| znorm | | 14.68
| sky | 14.1 | 14.1 | 14.3
| S/N | 14.6 | 21.7 | 21.8
| S/N(c) | 17.6 | 5.8 | 12.0
| SN(E/C) | 0.86
|
|
|
|
|
|
|
12320071
| 47
| | Red | Green | Blue
| z | | 18.89
| znorm | | 14.71
| sky | 13.8 | 13.7 | 13.8
| S/N | 14.2 | 21.8 | 21.8
| S/N(c) | 17.7 | 5.8 | 12.1
| SN(E/C) | 0.85
|
|
|
|
|
|
|
12320072
| 47
| | Red | Green | Blue
| z | | 18.92
| znorm | | 14.74
| sky | 13.9 | 13.8 | 13.9
| S/N | 15.1 | 22.5 | 22.3
| S/N(c) | 18.1 | 5.9 | 12.3
| SN(E/C) | 0.83
|
|
|
|
|
|
|
12320073
| 47
| | Red | Green | Blue
| z | | 18.94
| znorm | | 14.75
| sky | 13.9 | 13.9 | 14.0
| S/N | 14.9 | 22.6 | 22.5
| S/N(c) | 18.4 | 6.0 | 12.3
| SN(E/C) | 0.81
|
|
|
|
|
|
|