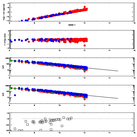
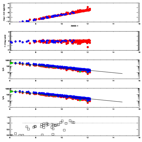
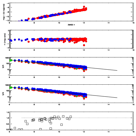
Frame | Nreads | Zeropoints | Mag plots
| Spatial mag deviation
| Spatial sky 16325A emission deviations (filled: sky, open: star)
| Spatial sky continuum emission
| Spatial sky telluric CO2 absorption deviations (filled: H < 10)
|
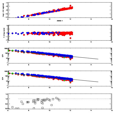
9080059
| 47
| | Red | Green | Blue
| z | | 19.05
| znorm | | 14.87
| sky | 14.5 | 14.4 | 14.5
| S/N | 15.9 | 24.3 | 24.2
| S/N(c) | 25.5 | 9.7 | 5.6
| SN(E/C) | 0.84
|
|
|
|
|
|
|
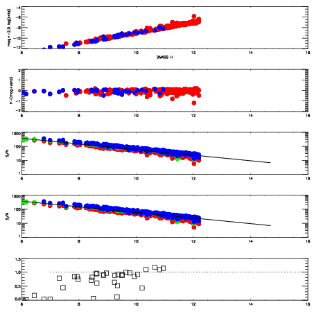
9080060
| 47
| | Red | Green | Blue
| z | | 19.04
| znorm | | 14.86
| sky | 14.7 | 14.5 | 14.9
| S/N | 15.5 | 24.0 | 24.5
| S/N(c) | 25.2 | 9.7 | 5.7
| SN(E/C) | 0.85
|
|
|
|
|
|
|
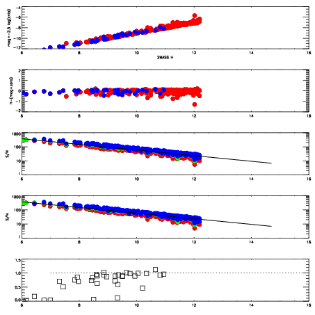
9080061
| 47
| | Red | Green | Blue
| z | | 19.05
| znorm | | 14.87
| sky | 14.6 | 14.7 | 15.0
| S/N | 15.8 | 24.6 | 24.6
| S/N(c) | 25.6 | 9.8 | 5.8
| SN(E/C) | 0.86
|
|
|
|
|
|
|
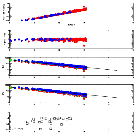
9080062
| 47
| | Red | Green | Blue
| z | | 19.06
| znorm | | 14.88
| sky | 14.7 | 14.6 | 14.9
| S/N | 15.7 | 24.7 | 24.5
| S/N(c) | 25.6 | 9.8 | 5.8
| SN(E/C) | 0.81
|
|
|
|
|
|
|
9080063
| 47
| | Red | Green | Blue
| z | | 19.06
| znorm | | 14.88
| sky | 14.7 | 14.6 | 15.0
| S/N | 15.9 | 24.4 | 24.5
| S/N(c) | 25.8 | 9.8 | 5.9
| SN(E/C) | 0.88
|
|
|
|
|
|
|
9080064
| 47
| | Red | Green | Blue
| z | | 19.06
| znorm | | 14.88
| sky | 14.6 | 14.7 | 14.9
| S/N | 15.6 | 24.5 | 24.8
| S/N(c) | 25.6 | 9.8 | 5.8
| SN(E/C) | 0.82
|
|
|
|
|
|
|
9080065
| 47
| | Red | Green | Blue
| z | | 19.10
| znorm | | 14.92
| sky | 14.5 | 14.6 | 14.8
| S/N | 16.3 | 25.2 | 25.2
| S/N(c) | 26.5 | 10.0 | 5.9
| SN(E/C) | 0.71
|
|
|
|
|
|
|
9080066
| 47
| | Red | Green | Blue
| z | | 19.08
| znorm | | 14.90
| sky | 14.5 | 14.8 | 14.9
| S/N | 16.0 | 25.0 | 24.9
| S/N(c) | 25.9 | 9.9 | 5.9
| SN(E/C) | 0.78
|
|
|
|
|
|
|