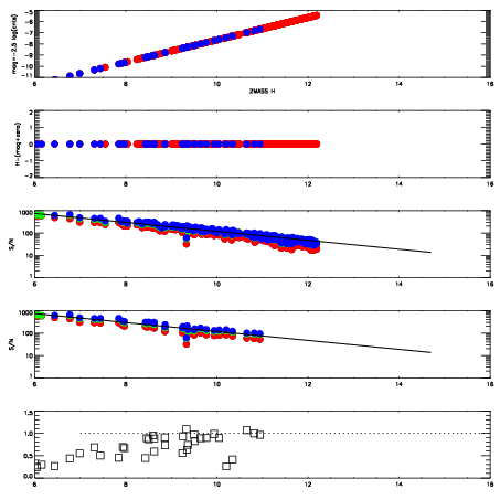
Left plots: red are targets, blue are telluric. Observed mags are calculated from median value of green chip. Zeropoint gives overall throughput: bigger number is more throughput.
First spatial plots: circles are objects, squares are tellurics, crosses are sky fibers. Colors give deviation of observed mag from expected 2MASS mag using the median zeropoint; red is brighter
Second spatial plots: circles are sky fibers. Colors give sky line brightness relative to plate median sky line brightness
FrameNreadsZeropointsMag plots Spatial mag deviation Spatial sky 16325A emission deviations (filled: sky, open: star) Spatial sky continuum emission Spatial sky telluric CO2 absorption deviations (filled: H < 10)
0 0
RedGreenBlue
z17.64
znorm Inf
sky -NaN -Inf -Inf
S/N 24.7 39.4 38.3
S/N(c) 0.0 0.0 0.0
SN(E/C) 0.74

IPAIRNAMESHIFTNEWSHIFTS/N NAMESHIFTNEWSHIFTS/N
0 09780031 0.513549 0.00000 18.8411 09780032 0.00167004 0.511879 18.8682
1 09780030 0.513324 0.000224948 18.8356 09780028 0.00180553 0.511743 18.8187
2 09780027 0.513380 0.000168979 18.7623 09780029 0.00180587 0.511743 18.8142
3 09780026 0.512682 0.000866950 18.7534 09780025 0.00000 0.513549 18.5449