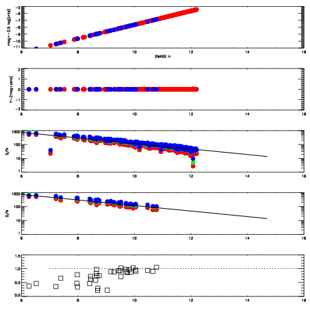
Left plots: red are targets, blue are telluric. Observed mags are calculated from median value of green chip. Zeropoint gives overall throughput: bigger number is more throughput.
First spatial plots: circles are objects, squares are tellurics, crosses are sky fibers. Colors give deviation of observed mag from expected 2MASS mag using the median zeropoint; red is brighter
Second spatial plots: circles are sky fibers. Colors give sky line brightness relative to plate median sky line brightness
FrameNreadsZeropointsMag plots Spatial mag deviation Spatial sky 16325A emission deviations (filled: sky, open: star) Spatial sky continuum emission Spatial sky telluric CO2 absorption deviations (filled: H < 10)
0 0
RedGreenBlue
z17.64
znorm Inf
sky -Inf -Inf -Inf
S/N 26.8 43.1 45.7
S/N(c) 0.0 0.0 0.0
SN(E/C) 0.83

IPAIRNAMESHIFTNEWSHIFTS/N NAMESHIFTNEWSHIFTS/N
0 10080012 0.472533 0.00000 18.9935 10080014 0.00276503 0.469768 18.9904
1 10080015 0.472357 0.000175983 19.0044 10080017 0.000417284 0.472116 19.0741
2 10080011 0.472438 9.49800e-05 18.9778 10080013 0.00255597 0.469977 18.9571
3 10080016 0.471996 0.000536978 18.9621 10080010 0.00000 0.472533 18.9270