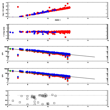
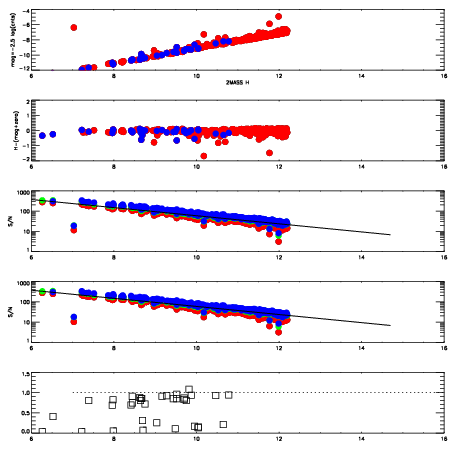
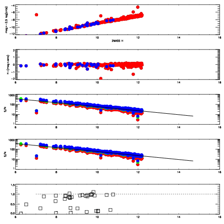
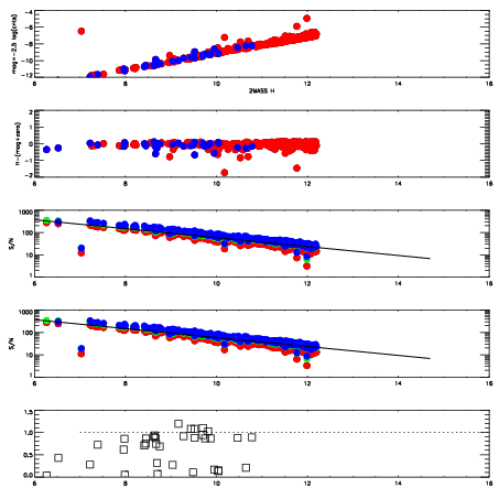
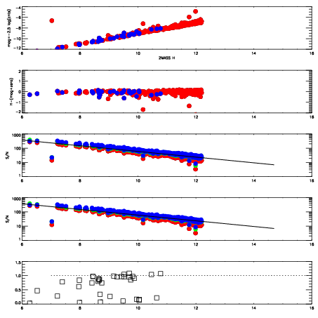
Frame | Nreads | Zeropoints | Mag plots
| Spatial mag deviation
| Spatial sky 16325A emission deviations (filled: sky, open: star)
| Spatial sky continuum emission
| Spatial sky telluric CO2 absorption deviations (filled: H < 10)
|
10120010
| 47
| | Red | Green | Blue
| z | | 19.12
| znorm | | 14.94
| sky | 13.8 | 13.5 | 13.2
| S/N | 16.9 | 25.0 | 25.1
| S/N(c) | 26.1 | 20.1 | 26.3
| SN(E/C) | 0.80
|
|
|
|
|
|
|
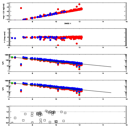
10120011
| 47
| | Red | Green | Blue
| z | | 19.13
| znorm | | 14.95
| sky | 14.2 | 14.1 | 14.0
| S/N | 17.0 | 25.8 | 26.5
| S/N(c) | 25.9 | 20.6 | 27.0
| SN(E/C) | 0.75
|
|
|
|
|
|
|
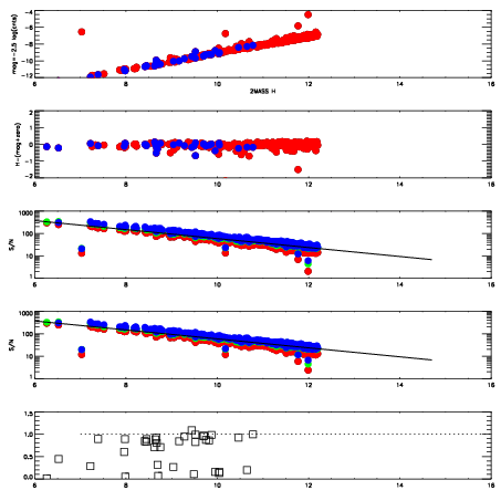
10120012
| 47
| | Red | Green | Blue
| z | | 19.14
| znorm | | 14.96
| sky | 14.4 | 14.2 | 14.1
| S/N | 17.1 | 25.9 | 26.9
| S/N(c) | 25.8 | 20.7 | 27.2
| SN(E/C) | 0.80
|
|
|
|
|
|
|
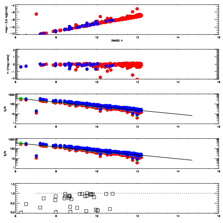
10120013
| 47
| | Red | Green | Blue
| z | | 19.06
| znorm | | 14.87
| sky | 14.5 | 14.3 | 14.1
| S/N | 16.4 | 25.3 | 26.2
| S/N(c) | 24.8 | 20.1 | 26.3
| SN(E/C) | 0.84
|
|
|
|
|
|
|
10120014
| 47
| | Red | Green | Blue
| z | | 19.01
| znorm | | 14.83
| sky | 14.5 | 14.3 | 14.2
| S/N | 15.9 | 24.6 | 25.8
| S/N(c) | 24.6 | 19.7 | 25.9
| SN(E/C) | 0.85
|
|
|
|
|
|
|
10120015
| 47
| | Red | Green | Blue
| z | | 19.12
| znorm | | 14.94
| sky | 14.4 | 14.3 | 14.1
| S/N | 16.8 | 25.6 | 27.2
| S/N(c) | 25.4 | 20.6 | 27.0
| SN(E/C) | 0.81
|
|
|
|
|
|
|
10120016
| 47
| | Red | Green | Blue
| z | | 19.10
| znorm | | 14.92
| sky | 14.3 | 14.2 | 14.1
| S/N | 16.8 | 25.6 | 27.0
| S/N(c) | 25.5 | 20.5 | 27.4
| SN(E/C) | 0.83
|
|
|
|
|
|
|
10120017
| 47
| | Red | Green | Blue
| z | | 19.08
| znorm | | 14.90
| sky | 14.3 | 14.3 | 14.2
| S/N | 16.7 | 25.1 | 26.9
| S/N(c) | 25.1 | 20.2 | 26.8
| SN(E/C) | 0.81
|
|
|
|
|
|
|