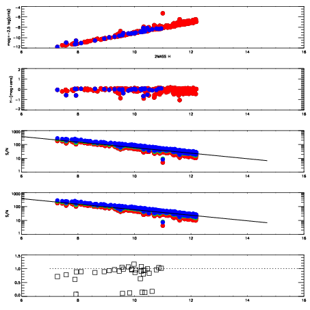
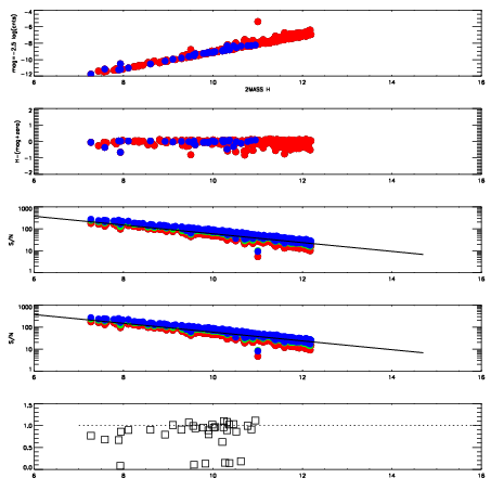
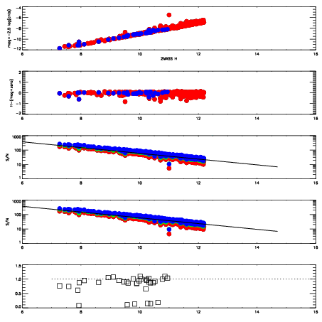
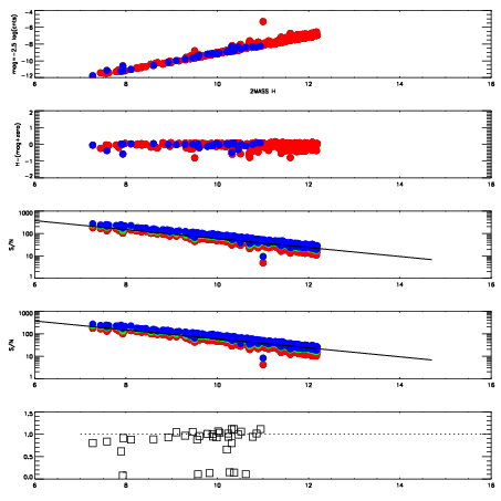
Frame | Nreads | Zeropoints | Mag plots
| Spatial mag deviation
| Spatial sky 16325A emission deviations (filled: sky, open: star)
| Spatial sky continuum emission
| Spatial sky telluric CO2 absorption deviations (filled: H < 10)
|
10050011
| 47
| | Red | Green | Blue
| z | | 19.10
| znorm | | 14.92
| sky | 14.1 | 14.0 | 13.8
| S/N | 16.0 | 24.8 | 26.1
| S/N(c) | 10.1 | 12.9 | 15.5
| SN(E/C) | 0.91
|
|
|
|
|
|
|
10050012
| 47
| | Red | Green | Blue
| z | | 19.12
| znorm | | 14.94
| sky | 14.6 | 14.4 | 14.4
| S/N | 16.5 | 25.6 | 27.1
| S/N(c) | 10.2 | 13.2 | 16.1
| SN(E/C) | 0.92
|
|
|
|
|
|
|
10050013
| 47
| | Red | Green | Blue
| z | | 19.09
| znorm | | 14.91
| sky | 14.5 | 14.4 | 14.4
| S/N | 15.9 | 24.9 | 26.9
| S/N(c) | 10.1 | 13.1 | 15.9
| SN(E/C) | 0.90
|
|
|
|
|
|
|
10050014
| 47
| | Red | Green | Blue
| z | | 19.01
| znorm | | 14.83
| sky | 14.7 | 14.5 | 14.5
| S/N | 15.0 | 24.2 | 25.6
| S/N(c) | 9.6 | 12.6 | 15.4
| SN(E/C) | 0.91
|
|
|
|
|
|
|
10050015
| 47
| | Red | Green | Blue
| z | | 19.04
| znorm | | 14.86
| sky | 14.6 | 14.5 | 14.6
| S/N | 15.4 | 24.3 | 26.1
| S/N(c) | 9.7 | 12.8 | 15.5
| SN(E/C) | 0.89
|
|
|
|
|
|
|
10050016
| 47
| | Red | Green | Blue
| z | | 19.11
| znorm | | 14.93
| sky | 14.5 | 14.5 | 14.5
| S/N | 16.0 | 25.6 | 27.5
| S/N(c) | 10.1 | 13.2 | 16.0
| SN(E/C) | 0.94
|
|
|
|
|
|
|
10050017
| 47
| | Red | Green | Blue
| z | | 19.11
| znorm | | 14.93
| sky | 14.8 | 14.5 | 14.5
| S/N | 16.0 | 25.3 | 27.4
| S/N(c) | 10.0 | 13.2 | 16.0
| SN(E/C) | 0.88
|
|
|
|
|
|
|
10050018
| 47
| | Red | Green | Blue
| z | | 19.18
| znorm | | 15.00
| sky | 14.6 | 14.6 | 14.5
| S/N | 16.7 | 26.8 | 28.2
| S/N(c) | 10.5 | 13.6 | 16.7
| SN(E/C) | 0.91
|
|
|
|
|
|
|