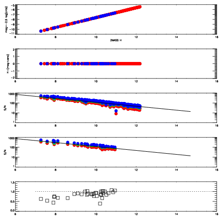
Left plots: red are targets, blue are telluric. Observed mags are calculated from median value of green chip. Zeropoint gives overall throughput: bigger number is more throughput.
First spatial plots: circles are objects, squares are tellurics, crosses are sky fibers. Colors give deviation of observed mag from expected 2MASS mag using the median zeropoint; red is brighter
Second spatial plots: circles are sky fibers. Colors give sky line brightness relative to plate median sky line brightness
FrameNreadsZeropointsMag plots Spatial mag deviation Spatial sky 16325A emission deviations (filled: sky, open: star) Spatial sky continuum emission Spatial sky telluric CO2 absorption deviations (filled: H < 10)
0 0
RedGreenBlue
z17.64
znorm Inf
sky -NaN -NaN -Inf
S/N 28.6 45.8 50.0
S/N(c) 0.0 0.0 0.0
SN(E/C) 0.86

IPAIRNAMESHIFTNEWSHIFTS/N NAMESHIFTNEWSHIFTS/N
0 10050012 0.473529 0.00000 19.1001 10050018 -0.00109429 0.474623 19.1646
1 10050016 0.472701 0.000827998 19.0881 10050011 0.00000 0.473529 19.0833
2 10050017 0.473081 0.000448018 19.0874 10050015 0.000922554 0.472606 19.0180
3 10050013 0.473043 0.000486016 19.0713 10050014 0.00103413 0.472495 18.9998