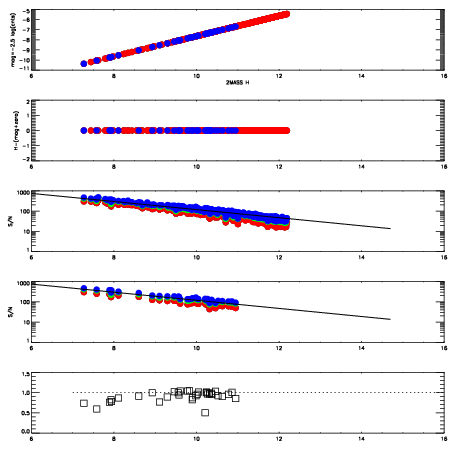
Left plots: red are targets, blue are telluric. Observed mags are calculated from median value of green chip. Zeropoint gives overall throughput: bigger number is more throughput.
First spatial plots: circles are objects, squares are tellurics, crosses are sky fibers. Colors give deviation of observed mag from expected 2MASS mag using the median zeropoint; red is brighter
Second spatial plots: circles are sky fibers. Colors give sky line brightness relative to plate median sky line brightness
FrameNreadsZeropointsMag plots Spatial mag deviation Spatial sky 16325A emission deviations (filled: sky, open: star) Spatial sky continuum emission Spatial sky telluric CO2 absorption deviations (filled: H < 10)
0 0
RedGreenBlue
z17.64
znorm Inf
sky -NaN -NaN -Inf
S/N 22.5 39.3 39.9
S/N(c) 0.0 0.0 0.0
SN(E/C) 0.95

IPAIRNAMESHIFTNEWSHIFTS/N NAMESHIFTNEWSHIFTS/N
0 10090018 0.473863 0.00000 18.6818 10090016 0.00173462 0.472128 18.7447
1 10090017 0.472944 0.000919014 18.7912 10090012 0.00000 0.473863 18.8664
2 10090013 0.470619 0.00324401 18.7253 10090015 0.00110120 0.472762 18.8087
3 10090014 0.472172 0.00169101 18.6520 10090019 0.00416180 0.469701 18.4949