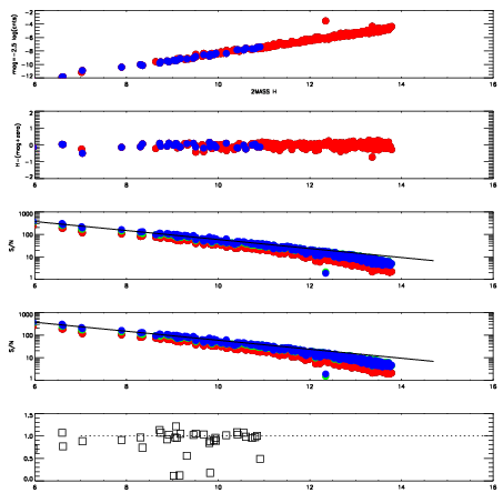
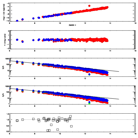
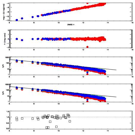
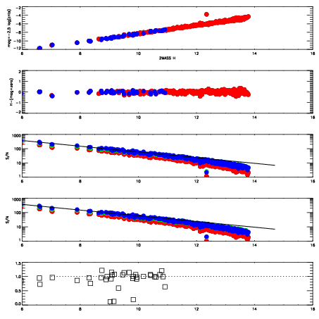
Left plots: red are targets, blue are telluric. Observed mags are calculated from median value of green chip. Zeropoint gives overall throughput: bigger number is more throughput.
First spatial plots: circles are objects, squares are tellurics, crosses are sky fibers. Colors give deviation of observed mag from expected 2MASS mag using the median zeropoint; red is brighter
Second spatial plots: circles are sky fibers. Colors give sky line brightness relative to plate median sky line brightness
FrameNreadsZeropointsMag plots Spatial mag deviation Spatial sky 16325A emission deviations (filled: sky, open: star) Spatial sky continuum emission Spatial sky telluric CO2 absorption deviations (filled: H < 10)
12290057 47
RedGreenBlue
z18.21
znorm14.03
sky 15.0 14.5 14.5
S/N 9.3 15.8 13.4
S/N(c) 17.8 29.8 14.8
SN(E/C) 0.95
12290058 47
RedGreenBlue
z18.36
znorm14.18
sky 15.1 14.8 15.1
S/N 10.5 16.6 15.2
S/N(c) 19.7 32.7 16.2
SN(E/C) 0.98
12290059 47
RedGreenBlue
z18.36
znorm14.18
sky 15.1 14.9 15.0
S/N 10.3 16.7 15.2
S/N(c) 19.6 33.0 16.4
SN(E/C) 0.97
12290060 47
RedGreenBlue
z18.43
znorm14.25
sky 15.2 14.9 15.1
S/N 10.7 17.5 16.1
S/N(c) 20.3 34.2 17.1
SN(E/C) 0.96