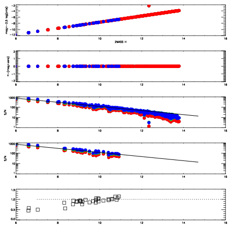
Left plots: red are targets, blue are telluric. Observed mags are calculated from median value of green chip. Zeropoint gives overall throughput: bigger number is more throughput.
First spatial plots: circles are objects, squares are tellurics, crosses are sky fibers. Colors give deviation of observed mag from expected 2MASS mag using the median zeropoint; red is brighter
Second spatial plots: circles are sky fibers. Colors give sky line brightness relative to plate median sky line brightness
FrameNreadsZeropointsMag plots Spatial mag deviation Spatial sky 16325A emission deviations (filled: sky, open: star) Spatial sky continuum emission Spatial sky telluric CO2 absorption deviations (filled: H < 10)
0 0
RedGreenBlue
z17.64
znorm Inf
sky -Inf -Inf -Inf
S/N 22.0 36.5 38.5
S/N(c) 0.0 0.0 0.0
SN(E/C) 0.91

IPAIRNAMESHIFTNEWSHIFTS/N NAMESHIFTNEWSHIFTS/N
0 12400017 0.493121 0.00000 18.7243 12400018 -0.000421960 0.493543 18.8293
1 12400020 0.491576 0.00154501 18.7099 12400019 0.000681539 0.492439 18.7344
2 12400021 0.492038 0.00108299 18.6893 12400022 -0.00400378 0.497125 18.6511
3 12400016 0.492604 0.000517011 18.6589 12400015 0.00000 0.493121 18.5143