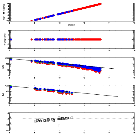
Left plots: red are targets, blue are telluric. Observed mags are calculated from median value of green chip. Zeropoint gives overall throughput: bigger number is more throughput.
First spatial plots: circles are objects, squares are tellurics, crosses are sky fibers. Colors give deviation of observed mag from expected 2MASS mag using the median zeropoint; red is brighter
Second spatial plots: circles are sky fibers. Colors give sky line brightness relative to plate median sky line brightness
FrameNreadsZeropointsMag plots Spatial mag deviation Spatial sky 16325A emission deviations (filled: sky, open: star) Spatial sky continuum emission Spatial sky telluric CO2 absorption deviations (filled: H < 10)
0 0
RedGreenBlue
z17.64
znorm Inf
sky -Inf -Inf -NaN
S/N 20.8 35.0 36.5
S/N(c) 0.0 0.0 0.0
SN(E/C) 0.95

IPAIRNAMESHIFTNEWSHIFTS/N NAMESHIFTNEWSHIFTS/N
0 12630024 0.485241 0.00000 18.4781 12630025 -0.00243192 0.487673 18.8843
1 12630023 0.484151 0.00108999 18.9160 12630022 0.00000 0.485241 18.9722
2 12630028 0.484380 0.000860989 18.3210 12630026 -0.00240451 0.487646 18.8370
3 12630027 0.484173 0.00106800 17.5897 12630029 -0.00205614 0.487297 18.5898