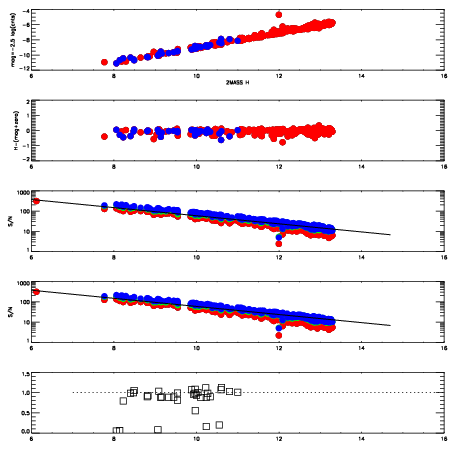
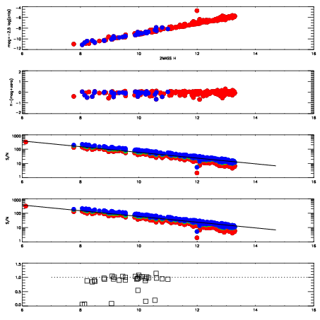
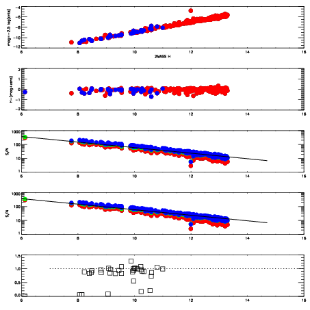
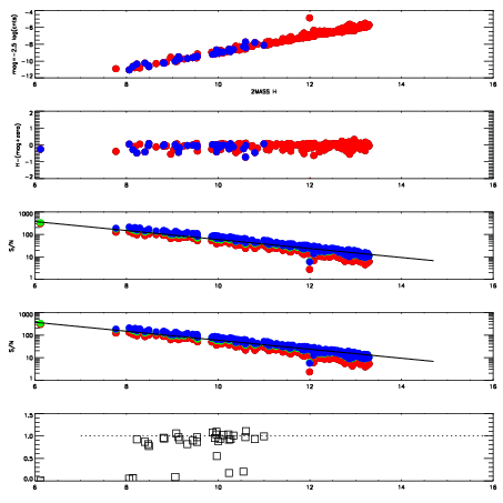
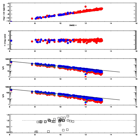
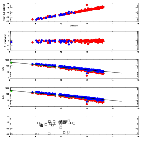
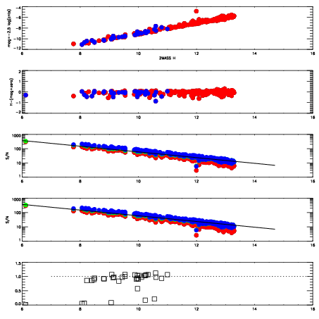
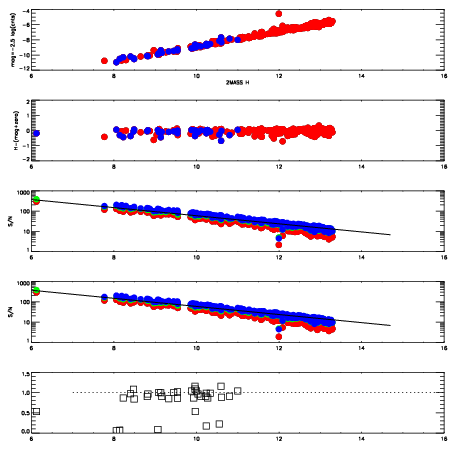
Frame | Nreads | Zeropoints | Mag plots
| Spatial mag deviation
| Spatial sky 16325A emission deviations (filled: sky, open: star)
| Spatial sky continuum emission
| Spatial sky telluric CO2 absorption deviations (filled: H < 10)
|
12680048
| 47
| | Red | Green | Blue
| z | | 19.11
| znorm | | 14.92
| sky | 14.5 | 14.2 | 14.2
| S/N | 16.8 | 26.8 | 27.5
| S/N(c) | 27.6 | 46.9 | 49.7
| SN(E/C) | 0.94
|
|
|
|
|
|
|
12680049
| 47
| | Red | Green | Blue
| z | | 19.10
| znorm | | 14.92
| sky | 14.5 | 14.3 | 14.4
| S/N | 16.9 | 26.7 | 28.1
| S/N(c) | 27.3 | 46.9 | 49.8
| SN(E/C) | 0.93
|
|
|
|
|
|
|
12680050
| 47
| | Red | Green | Blue
| z | | 19.06
| znorm | | 14.88
| sky | 14.5 | 14.3 | 14.5
| S/N | 16.2 | 26.1 | 27.5
| S/N(c) | 26.5 | 46.0 | 48.7
| SN(E/C) | 0.93
|
|
|
|
|
|
|
12680051
| 47
| | Red | Green | Blue
| z | | 19.04
| znorm | | 14.86
| sky | 14.6 | 14.4 | 14.5
| S/N | 16.3 | 26.0 | 27.2
| S/N(c) | 26.6 | 45.6 | 48.2
| SN(E/C) | 0.90
|
|
|
|
|
|
|
12680052
| 47
| | Red | Green | Blue
| z | | 19.12
| znorm | | 14.94
| sky | 14.5 | 14.4 | 14.5
| S/N | 16.8 | 27.0 | 28.6
| S/N(c) | 27.6 | 46.8 | 50.2
| SN(E/C) | 0.95
|
|
|
|
|
|
|
12680053
| 47
| | Red | Green | Blue
| z | | 19.10
| znorm | | 14.92
| sky | 14.4 | 14.3 | 14.3
| S/N | 16.7 | 27.0 | 28.4
| S/N(c) | 27.9 | 46.3 | 49.8
| SN(E/C) | 0.94
|
|
|
|
|
|
|
12680054
| 47
| | Red | Green | Blue
| z | | 18.47
| znorm | | 14.29
| sky | 14.5 | 14.4 | 14.5
| S/N | 10.8 | 18.6 | 19.7
| S/N(c) | 18.9 | 34.7 | 37.4
| SN(E/C) | 0.93
|
|
|
|
|
|
|
12680055
| 47
| | Red | Green | Blue
| z | | 18.96
| znorm | | 14.78
| sky | 14.5 | 14.4 | 14.5
| S/N | 15.2 | 25.0 | 26.3
| S/N(c) | 24.9 | 44.2 | 46.3
| SN(E/C) | 0.91
|
|
|
|
|
|
|