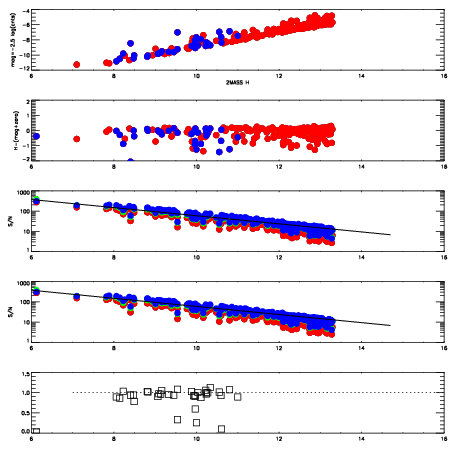
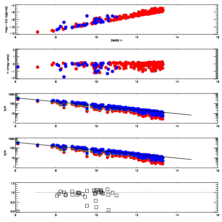
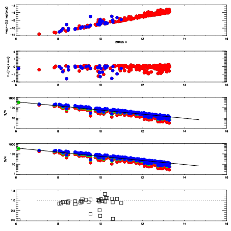
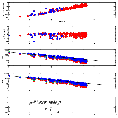
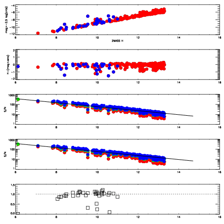
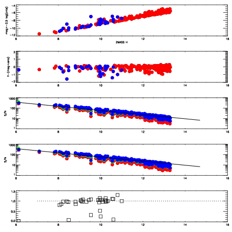
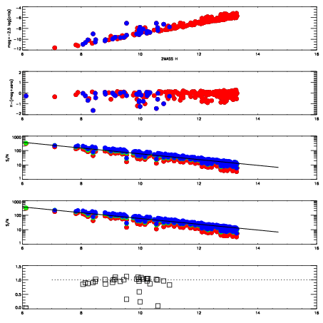
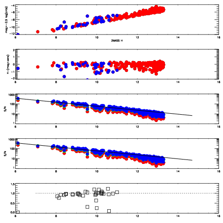
Frame | Nreads | Zeropoints | Mag plots
| Spatial mag deviation
| Spatial sky 16325A emission deviations (filled: sky, open: star)
| Spatial sky continuum emission
| Spatial sky telluric CO2 absorption deviations (filled: H < 10)
|
12620033
| 47
| | Red | Green | Blue
| z | | 18.70
| znorm | | 14.52
| sky | 14.0 | 13.8 | 13.8
| S/N | 12.1 | 19.3 | 20.7
| S/N(c) | 16.2 | 33.5 | 24.6
| SN(E/C) | 0.96
|
|
|
|
|
|
|
12620034
| 47
| | Red | Green | Blue
| z | | 18.78
| znorm | | 14.60
| sky | 14.1 | 13.9 | 14.1
| S/N | 11.9 | 19.6 | 21.2
| S/N(c) | 17.6 | 36.3 | 27.4
| SN(E/C) | 0.97
|
|
|
|
|
|
|
12620035
| 47
| | Red | Green | Blue
| z | | 18.87
| znorm | | 14.69
| sky | 14.2 | 14.0 | 14.1
| S/N | 12.9 | 21.9 | 22.8
| S/N(c) | 18.9 | 38.5 | 29.4
| SN(E/C) | 0.96
|
|
|
|
|
|
|
12620036
| 47
| | Red | Green | Blue
| z | | 18.91
| znorm | | 14.73
| sky | 14.3 | 14.1 | 14.1
| S/N | 13.7 | 22.6 | 23.9
| S/N(c) | 20.3 | 39.8 | 30.6
| SN(E/C) | 0.94
|
|
|
|
|
|
|
12620037
| 47
| | Red | Green | Blue
| z | | 18.91
| znorm | | 14.73
| sky | 14.1 | 14.1 | 14.2
| S/N | 13.5 | 22.8 | 23.9
| S/N(c) | 19.7 | 39.7 | 30.0
| SN(E/C) | 0.98
|
|
|
|
|
|
|
12620038
| 47
| | Red | Green | Blue
| z | | 19.02
| znorm | | 14.84
| sky | 14.3 | 14.1 | 14.1
| S/N | 15.2 | 24.3 | 25.6
| S/N(c) | 21.4 | 43.0 | 31.9
| SN(E/C) | 0.97
|
|
|
|
|
|
|
12620039
| 47
| | Red | Green | Blue
| z | | 19.06
| znorm | | 14.88
| sky | 14.2 | 14.0 | 14.1
| S/N | 15.3 | 24.3 | 25.9
| S/N(c) | 21.8 | 43.7 | 32.6
| SN(E/C) | 0.94
|
|
|
|
|
|
|
12620040
| 47
| | Red | Green | Blue
| z | | 19.04
| znorm | | 14.86
| sky | 14.2 | 14.2 | 14.1
| S/N | 15.6 | 24.1 | 26.2
| S/N(c) | 21.8 | 43.4 | 32.1
| SN(E/C) | 0.99
|
|
|
|
|
|
|