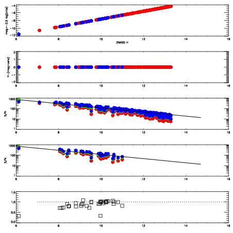
Left plots: red are targets, blue are telluric. Observed mags are calculated from median value of green chip. Zeropoint gives overall throughput: bigger number is more throughput.
First spatial plots: circles are objects, squares are tellurics, crosses are sky fibers. Colors give deviation of observed mag from expected 2MASS mag using the median zeropoint; red is brighter
Second spatial plots: circles are sky fibers. Colors give sky line brightness relative to plate median sky line brightness
FrameNreadsZeropointsMag plots Spatial mag deviation Spatial sky 16325A emission deviations (filled: sky, open: star) Spatial sky continuum emission Spatial sky telluric CO2 absorption deviations (filled: H < 10)
0 0
RedGreenBlue
z17.64
znorm Inf
sky -Inf -Inf -Inf
S/N 23.8 41.2 44.0
S/N(c) 0.0 0.0 0.0
SN(E/C) 0.90

IPAIRNAMESHIFTNEWSHIFTS/N NAMESHIFTNEWSHIFTS/N
0 12620039 0.486850 0.00000 19.0369 12620040 0.00248026 0.484370 19.0183
1 12620038 0.486500 0.000349998 19.0123 12620036 0.000617690 0.486232 18.9054
2 12620035 0.485623 0.00122699 18.8536 12620037 0.00120870 0.485641 18.9007
3 12620034 0.485894 0.000955999 18.7699 12620033 0.00000 0.486850 18.6900