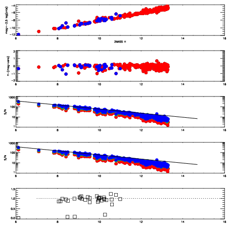
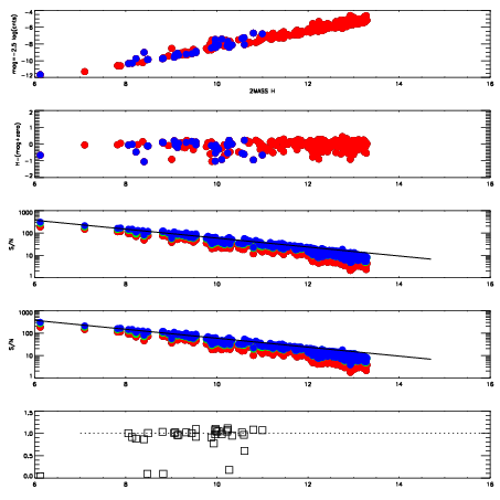
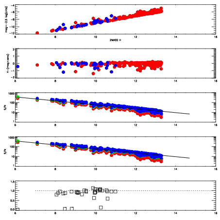
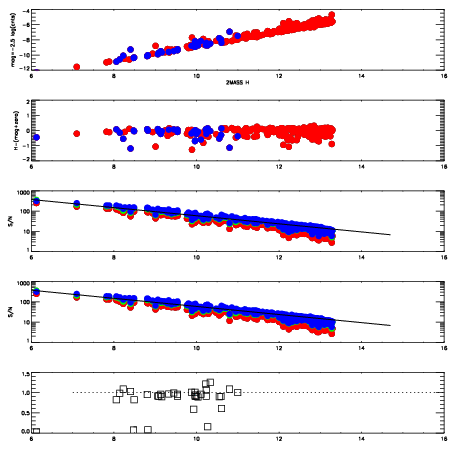
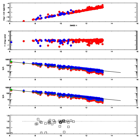
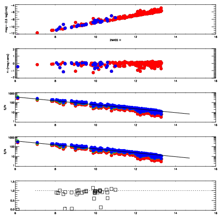
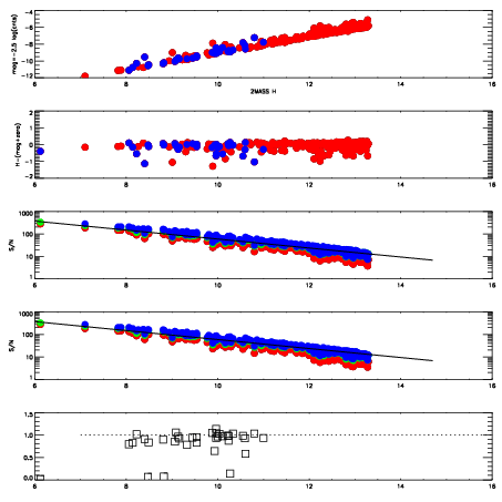
Frame | Nreads | Zeropoints | Mag plots
| Spatial mag deviation
| Spatial sky 16325A emission deviations (filled: sky, open: star)
| Spatial sky continuum emission
| Spatial sky telluric CO2 absorption deviations (filled: H < 10)
|
12680037
| 47
| | Red | Green | Blue
| z | | 18.19
| znorm | | 14.01
| sky | 14.4 | 14.0 | 14.1
| S/N | 7.7 | 13.1 | 13.3
| S/N(c) | 18.1 | 4.1 | 8.8
| SN(E/C) | 0.97
|
|
|
|
|
|
|
12680038
| 47
| | Red | Green | Blue
| z | | 18.45
| znorm | | 14.27
| sky | 14.4 | 14.1 | 14.2
| S/N | 9.4 | 15.0 | 16.0
| S/N(c) | 19.5 | 4.5 | 9.3
| SN(E/C) | 1.00
|
|
|
|
|
|
|
12680039
| 47
| | Red | Green | Blue
| z | | 18.86
| znorm | | 14.68
| sky | 14.4 | 14.1 | 14.2
| S/N | 12.2 | 20.5 | 21.6
| S/N(c) | 27.8 | 5.7 | 12.3
| SN(E/C) | 0.91
|
|
|
|
|
|
|
12680040
| 47
| | Red | Green | Blue
| z | | 18.91
| znorm | | 14.73
| sky | 14.4 | 14.2 | 14.4
| S/N | 13.2 | 21.7 | 22.5
| S/N(c) | 28.4 | 6.0 | 12.6
| SN(E/C) | 0.92
|
|
|
|
|
|
|
12680041
| 47
| | Red | Green | Blue
| z | | 19.02
| znorm | | 14.84
| sky | 14.4 | 14.3 | 14.3
| S/N | 13.7 | 22.8 | 23.8
| S/N(c) | 30.3 | 6.4 | 13.3
| SN(E/C) | 0.95
|
|
|
|
|
|
|
12680042
| 47
| | Red | Green | Blue
| z | | 19.00
| znorm | | 14.82
| sky | 14.4 | 14.3 | 14.3
| S/N | 14.0 | 23.3 | 23.9
| S/N(c) | 29.5 | 6.4 | 13.6
| SN(E/C) | 0.94
|
|
|
|
|
|
|
12680043
| 47
| | Red | Green | Blue
| z | | 19.04
| znorm | | 14.86
| sky | 14.6 | 14.4 | 14.4
| S/N | 14.4 | 23.6 | 24.6
| S/N(c) | 31.3 | 6.5 | 13.9
| SN(E/C) | 0.93
|
|
|
|
|
|
|
12680044
| 47
| | Red | Green | Blue
| z | | 19.06
| znorm | | 14.88
| sky | 14.6 | 14.4 | 14.4
| S/N | 14.8 | 24.2 | 25.3
| S/N(c) | 31.5 | 6.6 | 14.0
| SN(E/C) | 0.93
|
|
|
|
|
|
|