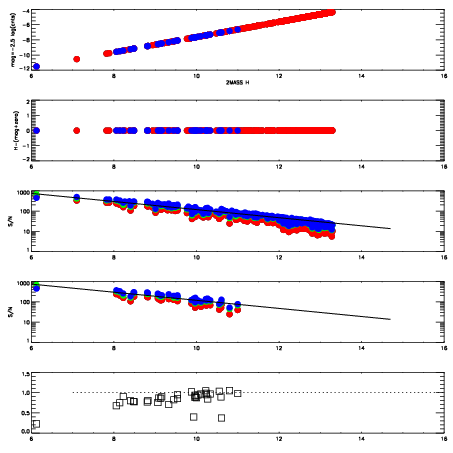
Left plots: red are targets, blue are telluric. Observed mags are calculated from median value of green chip. Zeropoint gives overall throughput: bigger number is more throughput.
First spatial plots: circles are objects, squares are tellurics, crosses are sky fibers. Colors give deviation of observed mag from expected 2MASS mag using the median zeropoint; red is brighter
Second spatial plots: circles are sky fibers. Colors give sky line brightness relative to plate median sky line brightness
FrameNreadsZeropointsMag plots Spatial mag deviation Spatial sky 16325A emission deviations (filled: sky, open: star) Spatial sky continuum emission Spatial sky telluric CO2 absorption deviations (filled: H < 10)
0 0
RedGreenBlue
z17.64
znorm Inf
sky -Inf -NaN -Inf
S/N 21.8 38.4 41.3
S/N(c) 0.0 0.0 0.0
SN(E/C) 0.87

IPAIRNAMESHIFTNEWSHIFTS/N NAMESHIFTNEWSHIFTS/N
0 12680043 0.488602 0.00000 19.0219 12680044 -0.00229214 0.490894 19.0423
1 12680042 0.488212 0.000390023 18.9892 12680041 -0.00125678 0.489859 18.9935
2 12680039 0.488475 0.000127017 18.8464 12680040 -0.00108685 0.489689 18.9020
3 12680038 0.488308 0.000294000 18.4337 12680037 0.00000 0.488602 18.2017