Frame | Nreads | Zeropoints | Mag plots
| Spatial mag deviation
| Spatial sky 16325A emission deviations (filled: sky, open: star)
| Spatial sky continuum emission
| Spatial sky telluric CO2 absorption deviations (filled: H < 10)
|
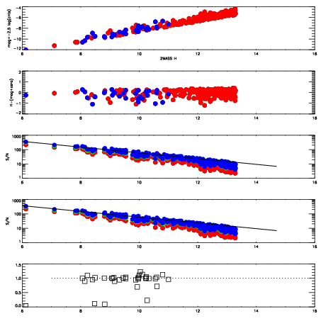
12690011
| 47
| | Red | Green | Blue
| z | | 18.52
| znorm | | 14.33
| sky | 14.5 | 14.4 | 14.3
| S/N | 10.1 | 18.5 | 18.3
| S/N(c) | 24.7 | 5.1 | 10.6
| SN(E/C) | 0.94
|
|
|
|
|
|
|
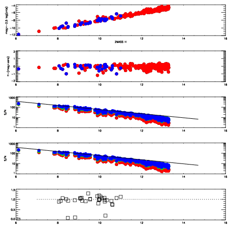
12690012
| 47
| | Red | Green | Blue
| z | | 18.40
| znorm | | 14.22
| sky | 14.6 | 14.6 | 14.9
| S/N | 8.7 | 15.4 | 16.2
| S/N(c) | 21.2 | 4.7 | 9.5
| SN(E/C) | 0.99
|
|
|
|
|
|
|
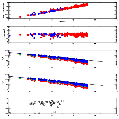
12690013
| 47
| | Red | Green | Blue
| z | | 18.62
| znorm | | 14.44
| sky | 14.5 | 14.6 | 14.7
| S/N | 11.3 | 19.6 | 19.5
| S/N(c) | 26.1 | 5.3 | 11.3
| SN(E/C) | 0.94
|
|
|
|
|
|
|
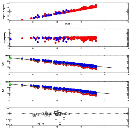
12690014
| 47
| | Red | Green | Blue
| z | | 18.13
| znorm | | 13.95
| sky | 14.4 | 14.6 | 14.9
| S/N | 7.2 | 13.7 | 13.9
| S/N(c) | 18.3 | 4.2 | 8.6
| SN(E/C) | 0.97
|
|
|
|
|
|
|
12690015
| 47
| | Red | Green | Blue
| z | | 18.37
| znorm | | 14.19
| sky | 14.6 | 14.6 | 14.9
| S/N | 8.9 | 16.4 | 16.3
| S/N(c) | 21.9 | 4.7 | 10.1
| SN(E/C) | 0.94
|
|
|
|
|
|
|
12690016
| 47
| | Red | Green | Blue
| z | | 18.43
| znorm | | 14.25
| sky | 14.6 | 14.7 | 14.8
| S/N | 9.1 | 17.0 | 16.9
| S/N(c) | 22.9 | 5.0 | 10.7
| SN(E/C) | 1.01
|
|
|
|
|
|
|
12690017
| 47
| | Red | Green | Blue
| z | | 19.08
| znorm | | 14.90
| sky | 14.7 | 14.8 | 14.8
| S/N | 15.1 | 25.1 | 25.2
| S/N(c) | 32.7 | 6.6 | 13.8
| SN(E/C) | 0.96
|
|
|
|
|
|
|
12690018
| 47
| | Red | Green | Blue
| z | | 18.58
| znorm | | 14.40
| sky | 14.6 | 14.7 | 14.9
| S/N | 11.0 | 19.1 | 19.5
| S/N(c) | 26.0 | 5.3 | 11.2
| SN(E/C) | 0.99
|
|
|
|
|
|
|