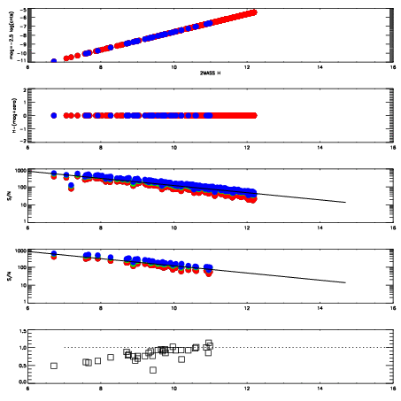
Left plots: red are targets, blue are telluric. Observed mags are calculated from median value of green chip. Zeropoint gives overall throughput: bigger number is more throughput.
First spatial plots: circles are objects, squares are tellurics, crosses are sky fibers. Colors give deviation of observed mag from expected 2MASS mag using the median zeropoint; red is brighter
Second spatial plots: circles are sky fibers. Colors give sky line brightness relative to plate median sky line brightness
FrameNreadsZeropointsMag plots Spatial mag deviation Spatial sky 16325A emission deviations (filled: sky, open: star) Spatial sky continuum emission Spatial sky telluric CO2 absorption deviations (filled: H < 10)
0 0
RedGreenBlue
z17.64
znorm Inf
sky -Inf -Inf -Inf
S/N 27.4 46.4 49.3
S/N(c) 0.0 0.0 0.0
SN(E/C) 0.85

IPAIRNAMESHIFTNEWSHIFTS/N NAMESHIFTNEWSHIFTS/N
0 08720013 0.469025 0.00000 19.0152 08720014 0.00142050 0.467604 19.0125
1 08720016 0.467120 0.00190499 19.0684 08720011 0.00000 0.469025 19.0525
2 08720017 0.467015 0.00200999 19.0683 08720015 0.00111389 0.467911 19.0335
3 08720012 0.468817 0.000207990 19.0280 08720018 -0.00263848 0.471663 19.0283