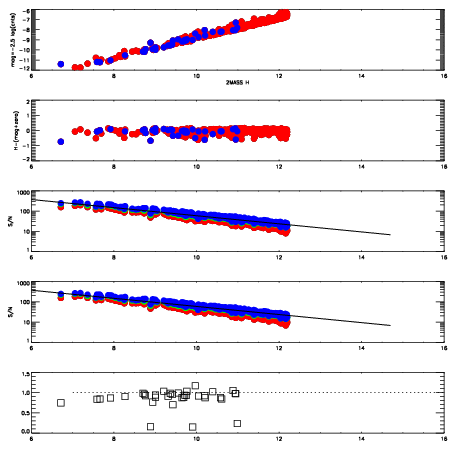
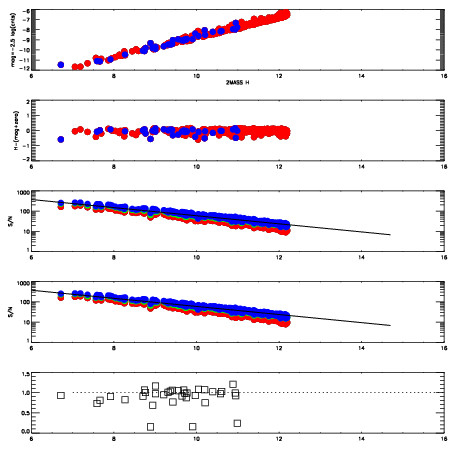
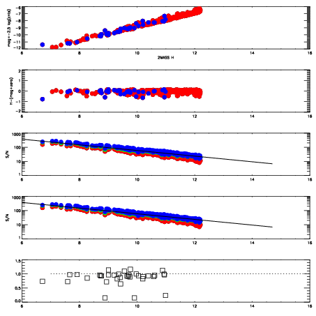
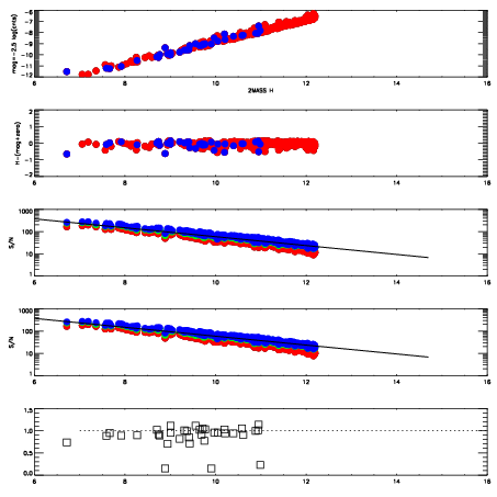
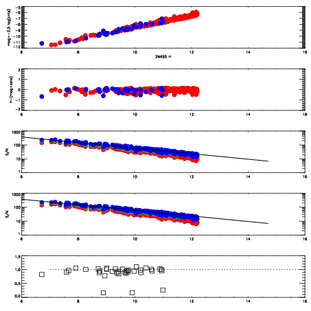
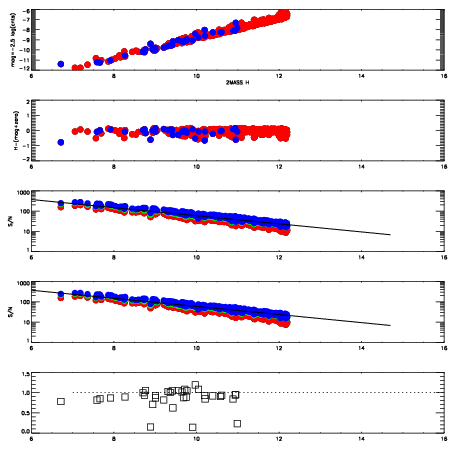
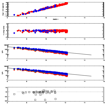
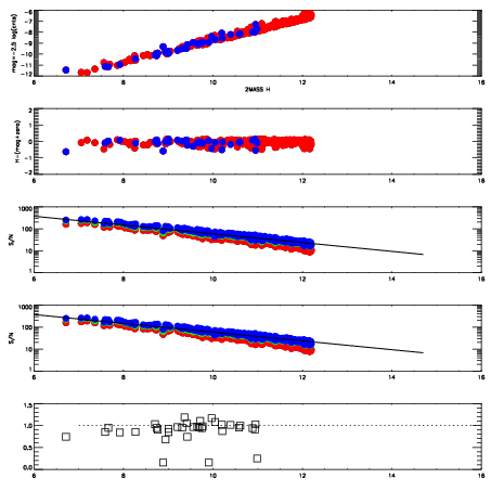
Frame | Nreads | Zeropoints | Mag plots
| Spatial mag deviation
| Spatial sky 16325A emission deviations (filled: sky, open: star)
| Spatial sky continuum emission
| Spatial sky telluric CO2 absorption deviations (filled: H < 10)
|
8800011
| 47
| | Red | Green | Blue
| z | | 18.57
| znorm | | 14.39
| sky | 14.6 | 14.6 | 14.3
| S/N | 11.5 | 19.5 | 20.1
| S/N(c) | 17.5 | 12.5 | 6.9
| SN(E/C) | 0.95
|
|
|
|
|
|
|
8800012
| 47
| | Red | Green | Blue
| z | | 18.74
| znorm | | 14.55
| sky | 14.6 | 14.7 | 14.5
| S/N | 12.2 | 20.8 | 22.4
| S/N(c) | 19.0 | 13.4 | 7.5
| SN(E/C) | 0.96
|
|
|
|
|
|
|
8800013
| 47
| | Red | Green | Blue
| z | | 18.85
| znorm | | 14.67
| sky | 14.6 | 14.6 | 14.6
| S/N | 13.1 | 21.8 | 23.6
| S/N(c) | 20.3 | 14.2 | 7.9
| SN(E/C) | 0.92
|
|
|
|
|
|
|
8800014
| 47
| | Red | Green | Blue
| z | | 18.88
| znorm | | 14.70
| sky | 14.7 | 14.7 | 14.6
| S/N | 13.6 | 22.5 | 24.1
| S/N(c) | 20.8 | 14.3 | 8.1
| SN(E/C) | 0.92
|
|
|
|
|
|
|
8800015
| 47
| | Red | Green | Blue
| z | | 18.86
| znorm | | 14.68
| sky | 14.7 | 14.7 | 14.7
| S/N | 13.4 | 22.4 | 23.7
| S/N(c) | 20.4 | 14.2 | 8.0
| SN(E/C) | 0.93
|
|
|
|
|
|
|
8800016
| 47
| | Red | Green | Blue
| z | | 18.77
| znorm | | 14.59
| sky | 14.6 | 14.6 | 14.6
| S/N | 12.5 | 20.8 | 22.3
| S/N(c) | 19.3 | 13.7 | 7.6
| SN(E/C) | 0.97
|
|
|
|
|
|
|
8800017
| 47
| | Red | Green | Blue
| z | | 18.79
| znorm | | 14.61
| sky | 15.0 | 14.8 | 14.8
| S/N | 12.4 | 20.9 | 22.3
| S/N(c) | 19.5 | 13.7 | 7.7
| SN(E/C) | 0.95
|
|
|
|
|
|
|
8800018
| 47
| | Red | Green | Blue
| z | | 18.87
| znorm | | 14.69
| sky | 14.8 | 14.8 | 14.8
| S/N | 13.6 | 21.9 | 23.3
| S/N(c) | 20.7 | 14.4 | 8.0
| SN(E/C) | 0.94
|
|
|
|
|
|
|