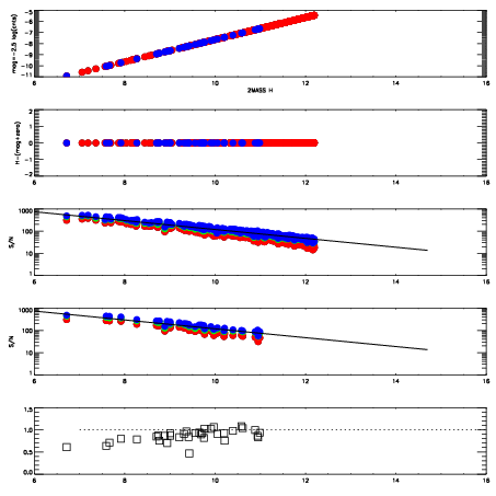
Left plots: red are targets, blue are telluric. Observed mags are calculated from median value of green chip. Zeropoint gives overall throughput: bigger number is more throughput.
First spatial plots: circles are objects, squares are tellurics, crosses are sky fibers. Colors give deviation of observed mag from expected 2MASS mag using the median zeropoint; red is brighter
Second spatial plots: circles are sky fibers. Colors give sky line brightness relative to plate median sky line brightness
FrameNreadsZeropointsMag plots Spatial mag deviation Spatial sky 16325A emission deviations (filled: sky, open: star) Spatial sky continuum emission Spatial sky telluric CO2 absorption deviations (filled: H < 10)
0 0
RedGreenBlue
z17.64
znorm Inf
sky -Inf -Inf -Inf
S/N 22.6 40.7 43.4
S/N(c) 0.0 0.0 0.0
SN(E/C) 0.87

IPAIRNAMESHIFTNEWSHIFTS/N NAMESHIFTNEWSHIFTS/N
0 08800013 0.473458 0.00000 18.8279 08800018 -0.000615206 0.474073 18.8603
1 08800017 0.470500 0.00295800 18.7708 08800014 -0.000188080 0.473646 18.8595
2 08800016 0.471225 0.00223300 18.7525 08800015 -0.000257628 0.473716 18.8488
3 08800012 0.473255 0.000202984 18.7104 08800011 0.00000 0.473458 18.5586