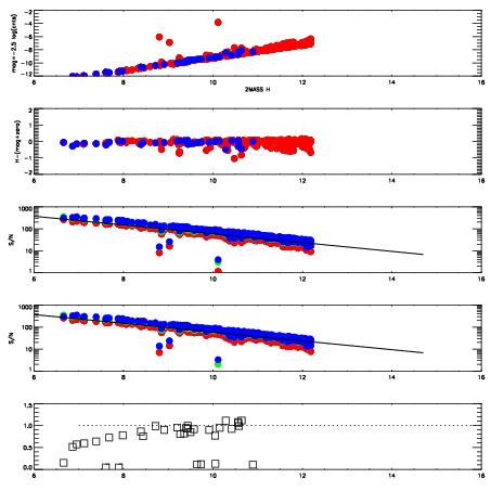
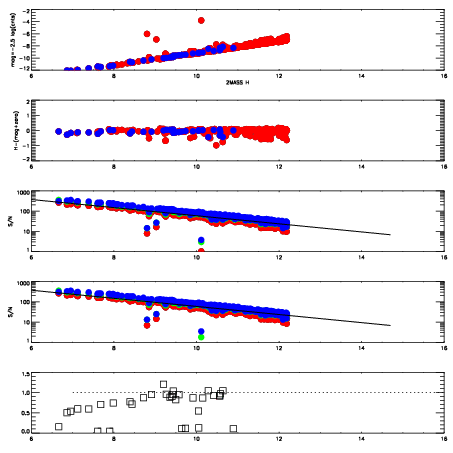
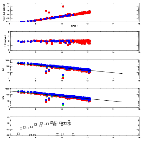
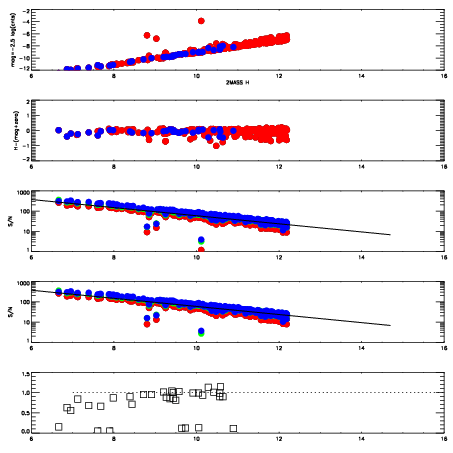
Left plots: red are targets, blue are telluric. Observed mags are calculated from median value of green chip. Zeropoint gives overall throughput: bigger number is more throughput.
First spatial plots: circles are objects, squares are tellurics, crosses are sky fibers. Colors give deviation of observed mag from expected 2MASS mag using the median zeropoint; red is brighter
Second spatial plots: circles are sky fibers. Colors give sky line brightness relative to plate median sky line brightness
FrameNreadsZeropointsMag plots Spatial mag deviation Spatial sky 16325A emission deviations (filled: sky, open: star) Spatial sky continuum emission Spatial sky telluric CO2 absorption deviations (filled: H < 10)
10120021 47
RedGreenBlue
z19.09
znorm14.91
sky 14.5 14.2 14.2
S/N 15.5 24.4 24.7
S/N(c) 26.6 31.0 16.6
SN(E/C) 0.88
10120022 47
RedGreenBlue
z19.15
znorm14.97
sky 14.5 14.2 14.4
S/N 16.3 25.5 25.9
S/N(c) 28.1 32.7 17.3
SN(E/C) 0.89
10120023 47
RedGreenBlue
z19.20
znorm15.02
sky 14.4 14.2 14.3
S/N 16.5 26.6 27.1
S/N(c) 28.5 33.0 17.8
SN(E/C) 0.85
10120024 47
RedGreenBlue
z19.21
znorm15.03
sky 14.3 14.3 14.4
S/N 16.6 26.4 27.2
S/N(c) 28.5 33.1 18.1
SN(E/C) 0.86