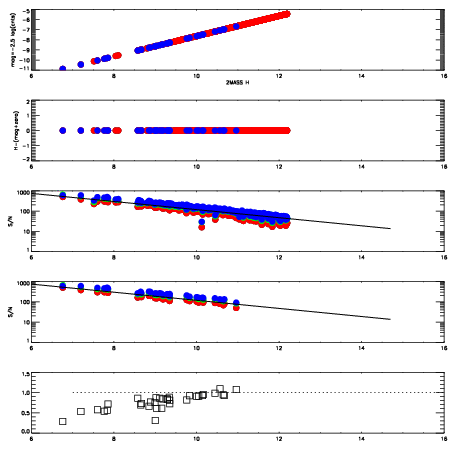
Left plots: red are targets, blue are telluric. Observed mags are calculated from median value of green chip. Zeropoint gives overall throughput: bigger number is more throughput.
First spatial plots: circles are objects, squares are tellurics, crosses are sky fibers. Colors give deviation of observed mag from expected 2MASS mag using the median zeropoint; red is brighter
Second spatial plots: circles are sky fibers. Colors give sky line brightness relative to plate median sky line brightness
FrameNreadsZeropointsMag plots Spatial mag deviation Spatial sky 16325A emission deviations (filled: sky, open: star) Spatial sky continuum emission Spatial sky telluric CO2 absorption deviations (filled: H < 10)
0 0
RedGreenBlue
z17.64
znorm Inf
sky -Inf -NaN -Inf
S/N 29.4 49.3 52.1
S/N(c) 0.0 0.0 0.0
SN(E/C) 0.83

IPAIRNAMESHIFTNEWSHIFTS/N NAMESHIFTNEWSHIFTS/N
0 06700012 0.481847 0.00000 19.1144 06700013 0.00156716 0.480280 19.1136
1 06700016 0.481296 0.000550985 19.1252 06700017 3.15285e-05 0.481815 19.1510
2 06700011 0.481574 0.000272989 19.1045 06700014 -0.000490224 0.482337 19.1136
3 06700015 0.481582 0.000265002 19.0994 06700010 0.00000 0.481847 19.0954