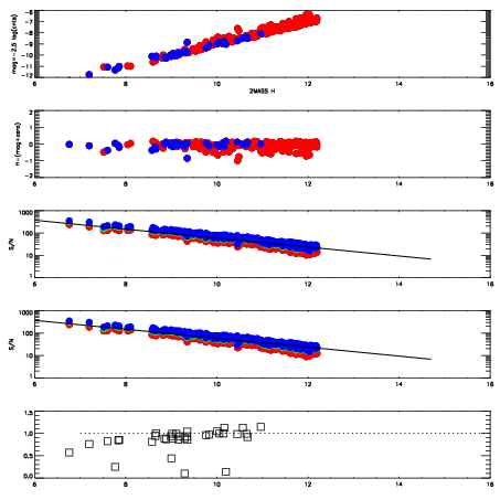
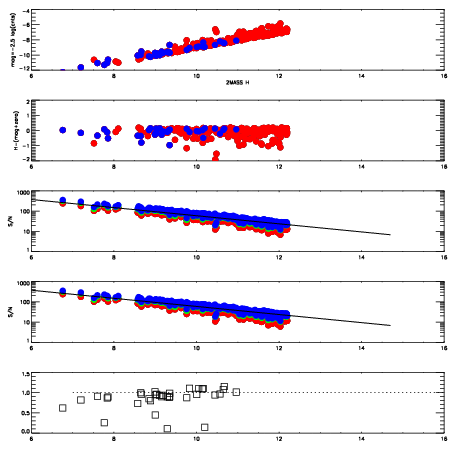
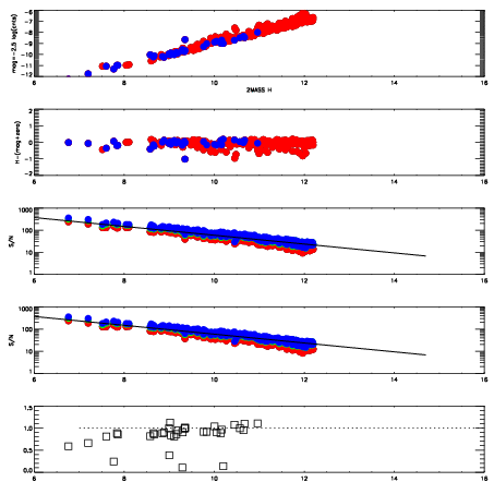
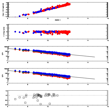
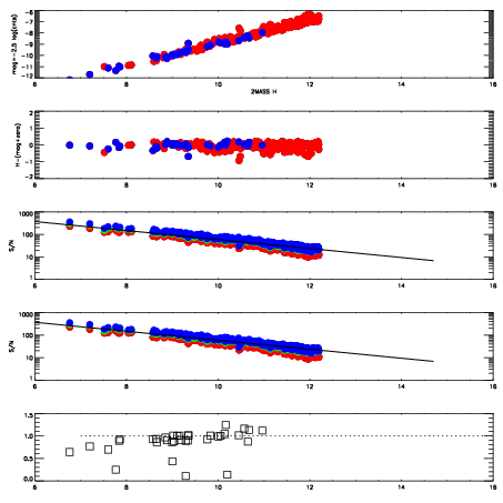
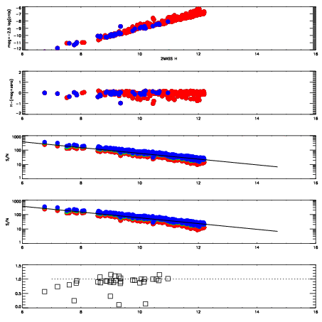
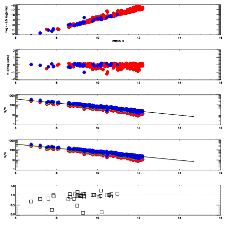
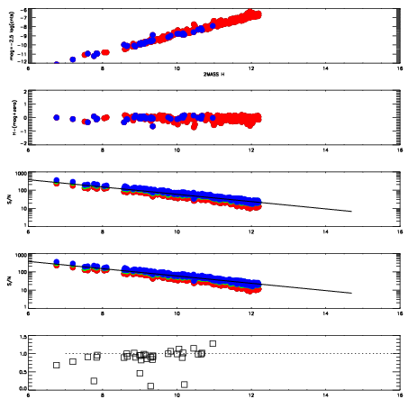
Frame | Nreads | Zeropoints | Mag plots
| Spatial mag deviation
| Spatial sky 16325A emission deviations (filled: sky, open: star)
| Spatial sky continuum emission
| Spatial sky telluric CO2 absorption deviations (filled: H < 10)
|
10150011
| 47
| | Red | Green | Blue
| z | | 19.02
| znorm | | 14.83
| sky | 14.5 | 14.3 | 14.0
| S/N | 15.1 | 24.3 | 24.2
| S/N(c) | 22.6 | 32.8 | 14.8
| SN(E/C) | 0.90
|
|
|
|
|
|
|
10150012
| 47
| | Red | Green | Blue
| z | | 19.04
| znorm | | 14.86
| sky | 14.6 | 14.4 | 14.3
| S/N | 15.2 | 24.9 | 25.0
| S/N(c) | 22.7 | 33.1 | 15.2
| SN(E/C) | 0.94
|
|
|
|
|
|
|
10150013
| 47
| | Red | Green | Blue
| z | | 19.05
| znorm | | 14.87
| sky | 14.7 | 14.6 | 14.3
| S/N | 15.6 | 24.8 | 25.2
| S/N(c) | 23.1 | 33.6 | 15.3
| SN(E/C) | 0.93
|
|
|
|
|
|
|
10150014
| 47
| | Red | Green | Blue
| z | | 18.98
| znorm | | 14.80
| sky | 14.6 | 14.4 | 14.4
| S/N | 14.6 | 24.0 | 24.3
| S/N(c) | 21.7 | 32.1 | 14.5
| SN(E/C) | 0.96
|
|
|
|
|
|
|
10150015
| 47
| | Red | Green | Blue
| z | | 18.90
| znorm | | 14.72
| sky | 14.7 | 14.6 | 14.6
| S/N | 13.8 | 22.8 | 23.3
| S/N(c) | 20.7 | 31.4 | 14.2
| SN(E/C) | 0.94
|
|
|
|
|
|
|
10150016
| 47
| | Red | Green | Blue
| z | | 18.95
| znorm | | 14.77
| sky | 14.8 | 14.6 | 14.4
| S/N | 14.2 | 23.7 | 24.2
| S/N(c) | 21.5 | 32.1 | 14.7
| SN(E/C) | 0.92
|
|
|
|
|
|
|
10150017
| 47
| | Red | Green | Blue
| z | | 18.91
| znorm | | 14.73
| sky | 14.7 | 14.6 | 14.5
| S/N | 14.2 | 23.7 | 24.3
| S/N(c) | 20.9 | 31.3 | 14.0
| SN(E/C) | 0.95
|
|
|
|
|
|
|
10150018
| 47
| | Red | Green | Blue
| z | | 18.99
| znorm | | 14.81
| sky | 14.9 | 14.7 | 14.5
| S/N | 15.4 | 25.0 | 25.3
| S/N(c) | 21.4 | 31.7 | 14.5
| SN(E/C) | 0.93
|
|
|
|
|
|
|