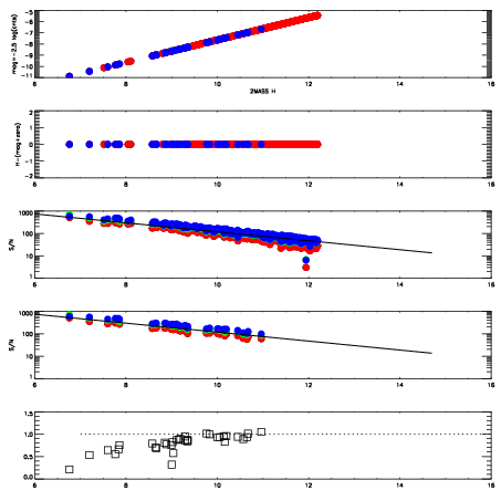
Left plots: red are targets, blue are telluric. Observed mags are calculated from median value of green chip. Zeropoint gives overall throughput: bigger number is more throughput.
First spatial plots: circles are objects, squares are tellurics, crosses are sky fibers. Colors give deviation of observed mag from expected 2MASS mag using the median zeropoint; red is brighter
Second spatial plots: circles are sky fibers. Colors give sky line brightness relative to plate median sky line brightness
FrameNreadsZeropointsMag plots Spatial mag deviation Spatial sky 16325A emission deviations (filled: sky, open: star) Spatial sky continuum emission Spatial sky telluric CO2 absorption deviations (filled: H < 10)
0 0
RedGreenBlue
z17.64
znorm Inf
sky -Inf -Inf -Inf
S/N 27.8 46.0 46.9
S/N(c) 0.0 0.0 0.0
SN(E/C) 0.84

IPAIRNAMESHIFTNEWSHIFTS/N NAMESHIFTNEWSHIFTS/N
0 10450013 0.504246 0.00000 19.0405 10450011 0.00000 0.504246 18.9610
1 10450017 0.504087 0.000159025 19.0928 10450015 0.00245225 0.501794 19.0589
2 10450016 0.504112 0.000133991 19.0886 10450018 0.00213473 0.502111 19.0364
3 10450012 0.503707 0.000539005 19.0835 10450014 0.00272922 0.501517 19.0264