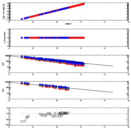
Left plots: red are targets, blue are telluric. Observed mags are calculated from median value of green chip. Zeropoint gives overall throughput: bigger number is more throughput.
First spatial plots: circles are objects, squares are tellurics, crosses are sky fibers. Colors give deviation of observed mag from expected 2MASS mag using the median zeropoint; red is brighter
Second spatial plots: circles are sky fibers. Colors give sky line brightness relative to plate median sky line brightness
FrameNreadsZeropointsMag plots Spatial mag deviation Spatial sky 16325A emission deviations (filled: sky, open: star) Spatial sky continuum emission Spatial sky telluric CO2 absorption deviations (filled: H < 10)
0 0
RedGreenBlue
z17.64
znorm Inf
sky -Inf -NaN -Inf
S/N 22.8 40.0 42.2
S/N(c) 0.0 0.0 0.0
SN(E/C) 0.95

IPAIRNAMESHIFTNEWSHIFTS/N NAMESHIFTNEWSHIFTS/N
0 10420012 0.512224 0.00000 18.4920 10420011 0.00000 0.512224 18.6494
1 10420017 0.509170 0.00305402 18.8590 10420014 0.00119540 0.511029 18.9046
2 10420016 0.508916 0.00330800 18.8207 10420015 0.000953676 0.511270 18.8700
3 10420013 0.511815 0.000409007 18.8099 10420018 0.00140620 0.510818 18.8280