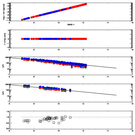
Left plots: red are targets, blue are telluric. Observed mags are calculated from median value of green chip. Zeropoint gives overall throughput: bigger number is more throughput.
First spatial plots: circles are objects, squares are tellurics, crosses are sky fibers. Colors give deviation of observed mag from expected 2MASS mag using the median zeropoint; red is brighter
Second spatial plots: circles are sky fibers. Colors give sky line brightness relative to plate median sky line brightness
FrameNreadsZeropointsMag plots Spatial mag deviation Spatial sky 16325A emission deviations (filled: sky, open: star) Spatial sky continuum emission Spatial sky telluric CO2 absorption deviations (filled: H < 10)
0 0
RedGreenBlue
z17.64
znorm Inf
sky -NaN -NaN -Inf
S/N 25.2 41.9 44.6
S/N(c) 0.0 0.0 0.0
SN(E/C) 0.85

IPAIRNAMESHIFTNEWSHIFTS/N NAMESHIFTNEWSHIFTS/N
0 06690017 0.483966 0.00000 18.9961 06690011 0.00000 0.483966 18.9505
1 06690016 0.483599 0.000366986 19.0339 06690018 0.000128085 0.483838 19.0248
2 06690013 0.482873 0.00109300 18.9762 06690014 -0.000688913 0.484655 18.9348
3 06690012 0.482841 0.00112498 18.9127 06690015 -0.00446599 0.488432 18.9180