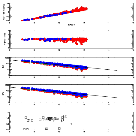
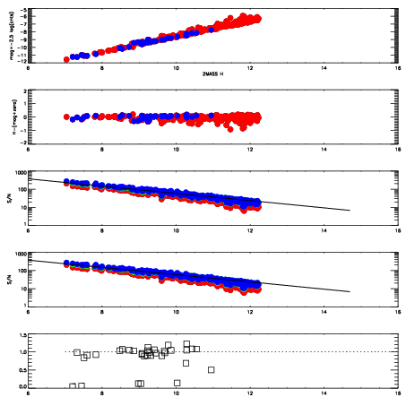
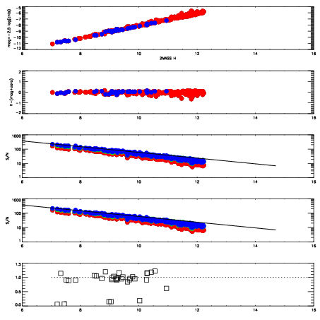
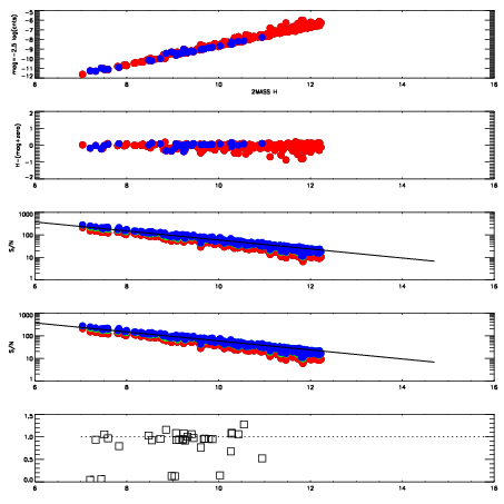
Left plots: red are targets, blue are telluric. Observed mags are calculated from median value of green chip. Zeropoint gives overall throughput: bigger number is more throughput.
First spatial plots: circles are objects, squares are tellurics, crosses are sky fibers. Colors give deviation of observed mag from expected 2MASS mag using the median zeropoint; red is brighter
Second spatial plots: circles are sky fibers. Colors give sky line brightness relative to plate median sky line brightness
FrameNreadsZeropointsMag plots Spatial mag deviation Spatial sky 16325A emission deviations (filled: sky, open: star) Spatial sky continuum emission Spatial sky telluric CO2 absorption deviations (filled: H < 10)
8770080 47
RedGreenBlue
z18.92
znorm14.74
sky 14.3 14.1 14.3
S/N 14.8 22.3 22.9
S/N(c) 24.4 26.6 9.4
SN(E/C) 0.89
8770081 47
RedGreenBlue
z18.59
znorm14.41
sky 14.4 14.2 14.4
S/N 12.0 19.0 19.8
S/N(c) 19.6 22.5 7.9
SN(E/C) 0.96
8770082 47
RedGreenBlue
z18.13
znorm13.95
sky 14.8 14.5 14.8
S/N 8.3 14.4 14.9
S/N(c) 15.3 18.1 6.3
SN(E/C) 0.95
8770083 47
RedGreenBlue
z18.62
znorm14.44
sky 14.6 14.5 14.6
S/N 12.3 19.2 20.1
S/N(c) 20.6 22.8 8.0
SN(E/C) 0.95