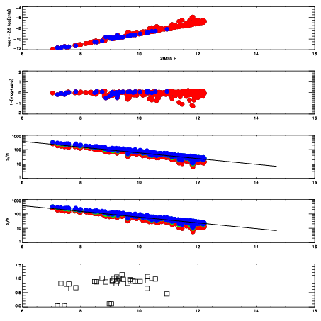
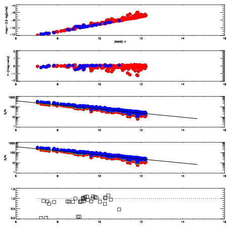
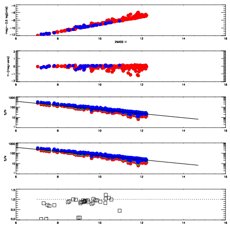
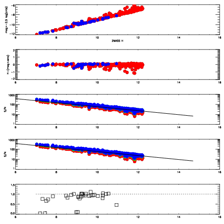
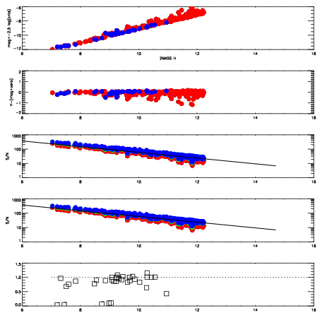
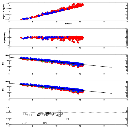
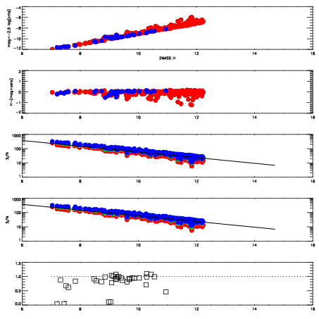
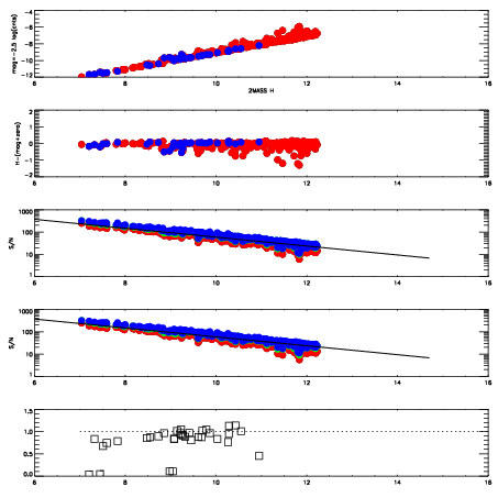
Frame | Nreads | Zeropoints | Mag plots
| Spatial mag deviation
| Spatial sky 16325A emission deviations (filled: sky, open: star)
| Spatial sky continuum emission
| Spatial sky telluric CO2 absorption deviations (filled: H < 10)
|
8780052
| 47
| | Red | Green | Blue
| z | | 19.01
| znorm | | 14.83
| sky | 14.4 | 14.4 | 14.0
| S/N | 15.8 | 24.4 | 24.3
| S/N(c) | 25.9 | 28.2 | 10.0
| SN(E/C) | 0.86
|
|
|
|
|
|
|
8780053
| 47
| | Red | Green | Blue
| z | | 19.04
| znorm | | 14.86
| sky | 14.4 | 14.5 | 14.2
| S/N | 16.1 | 24.9 | 25.0
| S/N(c) | 26.3 | 28.5 | 10.2
| SN(E/C) | 0.89
|
|
|
|
|
|
|
8780054
| 47
| | Red | Green | Blue
| z | | 19.04
| znorm | | 14.86
| sky | 14.7 | 14.5 | 14.2
| S/N | 16.1 | 25.2 | 25.3
| S/N(c) | 25.8 | 28.2 | 10.2
| SN(E/C) | 0.90
|
|
|
|
|
|
|
8780055
| 47
| | Red | Green | Blue
| z | | 19.03
| znorm | | 14.85
| sky | 14.4 | 14.5 | 14.2
| S/N | 15.8 | 25.1 | 25.5
| S/N(c) | 25.9 | 27.9 | 10.2
| SN(E/C) | 0.89
|
|
|
|
|
|
|
8780056
| 47
| | Red | Green | Blue
| z | | 19.03
| znorm | | 14.85
| sky | 14.7 | 14.5 | 14.3
| S/N | 15.9 | 25.0 | 25.4
| S/N(c) | 26.0 | 28.1 | 10.1
| SN(E/C) | 0.87
|
|
|
|
|
|
|
8780057
| 47
| | Red | Green | Blue
| z | | 19.02
| znorm | | 14.84
| sky | 14.5 | 14.5 | 14.4
| S/N | 15.7 | 25.0 | 25.4
| S/N(c) | 25.4 | 28.0 | 10.0
| SN(E/C) | 0.88
|
|
|
|
|
|
|
8780058
| 47
| | Red | Green | Blue
| z | | 19.02
| znorm | | 14.84
| sky | 14.7 | 14.6 | 14.4
| S/N | 15.7 | 25.1 | 25.4
| S/N(c) | 25.4 | 28.1 | 10.0
| SN(E/C) | 0.85
|
|
|
|
|
|
|
8780059
| 47
| | Red | Green | Blue
| z | | 19.06
| znorm | | 14.88
| sky | 14.5 | 14.6 | 14.3
| S/N | 16.1 | 25.3 | 25.8
| S/N(c) | 26.5 | 28.8 | 10.3
| SN(E/C) | 0.87
|
|
|
|
|
|
|