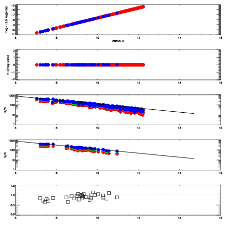
Left plots: red are targets, blue are telluric. Observed mags are calculated from median value of green chip. Zeropoint gives overall throughput: bigger number is more throughput.
First spatial plots: circles are objects, squares are tellurics, crosses are sky fibers. Colors give deviation of observed mag from expected 2MASS mag using the median zeropoint; red is brighter
Second spatial plots: circles are sky fibers. Colors give sky line brightness relative to plate median sky line brightness
FrameNreadsZeropointsMag plots Spatial mag deviation Spatial sky 16325A emission deviations (filled: sky, open: star) Spatial sky continuum emission Spatial sky telluric CO2 absorption deviations (filled: H < 10)
0 0
RedGreenBlue
z17.64
znorm Inf
sky -Inf -Inf -Inf
S/N 17.2 29.0 29.4
S/N(c) 0.0 0.0 0.0
SN(E/C) 0.88

IPAIRNAMESHIFTNEWSHIFTS/N NAMESHIFTNEWSHIFTS/N
0 08870012 0.487706 0.00000 18.4825 08870013 -0.00138389 0.489090 18.6920
1 08870011 0.487645 6.10054e-05 18.6993 08870010 0.00000 0.487706 18.9119
2 08870015 0.487649 5.70118e-05 17.7310 08870014 -0.00148939 0.489195 18.2164
3 08870016 0.487515 0.000191003 17.3439 08870017 -0.00142761 0.489134 17.5342