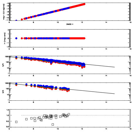
Left plots: red are targets, blue are telluric. Observed mags are calculated from median value of green chip. Zeropoint gives overall throughput: bigger number is more throughput.
First spatial plots: circles are objects, squares are tellurics, crosses are sky fibers. Colors give deviation of observed mag from expected 2MASS mag using the median zeropoint; red is brighter
Second spatial plots: circles are sky fibers. Colors give sky line brightness relative to plate median sky line brightness
FrameNreadsZeropointsMag plots Spatial mag deviation Spatial sky 16325A emission deviations (filled: sky, open: star) Spatial sky continuum emission Spatial sky telluric CO2 absorption deviations (filled: H < 10)
0 0
RedGreenBlue
z17.64
znorm Inf
sky -NaN -NaN -Inf
S/N 25.8 43.2 44.0
S/N(c) 0.0 0.0 0.0
SN(E/C) 0.87

IPAIRNAMESHIFTNEWSHIFTS/N NAMESHIFTNEWSHIFTS/N
0 10040013 0.472956 0.00000 19.0257 10040015 0.00125716 0.471699 19.0096
1 10040016 0.471527 0.00142899 19.0696 10040018 0.000467391 0.472489 19.0828
2 10040017 0.472508 0.000447989 19.0693 10040014 0.000790604 0.472165 19.0175
3 10040012 0.472574 0.000382006 18.9160 10040011 0.00000 0.472956 18.9788