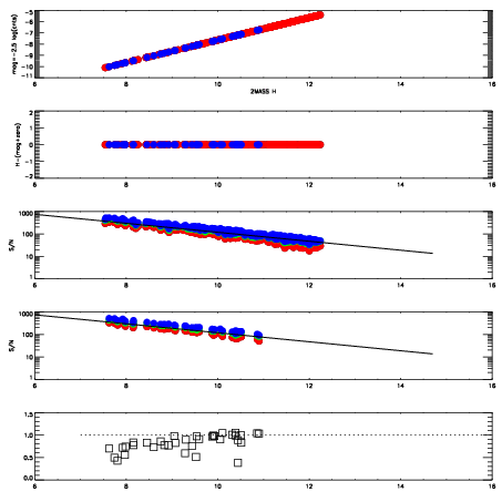
Left plots: red are targets, blue are telluric. Observed mags are calculated from median value of green chip. Zeropoint gives overall throughput: bigger number is more throughput.
First spatial plots: circles are objects, squares are tellurics, crosses are sky fibers. Colors give deviation of observed mag from expected 2MASS mag using the median zeropoint; red is brighter
Second spatial plots: circles are sky fibers. Colors give sky line brightness relative to plate median sky line brightness
FrameNreadsZeropointsMag plots Spatial mag deviation Spatial sky 16325A emission deviations (filled: sky, open: star) Spatial sky continuum emission Spatial sky telluric CO2 absorption deviations (filled: H < 10)
0 0
RedGreenBlue
z17.64
znorm Inf
sky -Inf -Inf -Inf
S/N 27.9 46.0 48.9
S/N(c) 0.0 0.0 0.0
SN(E/C) 0.84

IPAIRNAMESHIFTNEWSHIFTS/N NAMESHIFTNEWSHIFTS/N
0 06670013 0.476646 0.00000 19.0659 06670011 0.00000 0.476646 19.0695
1 06670016 0.475409 0.00123700 19.1058 06670014 0.00159290 0.475053 19.1281
2 06670012 0.476185 0.000461012 19.0911 06670015 -0.000454140 0.477100 19.1044
3 06670017 0.476370 0.000275999 19.0199 06670018 0.00541706 0.471229 19.0263