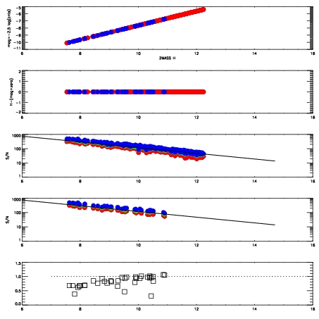
Left plots: red are targets, blue are telluric. Observed mags are calculated from median value of green chip. Zeropoint gives overall throughput: bigger number is more throughput.
First spatial plots: circles are objects, squares are tellurics, crosses are sky fibers. Colors give deviation of observed mag from expected 2MASS mag using the median zeropoint; red is brighter
Second spatial plots: circles are sky fibers. Colors give sky line brightness relative to plate median sky line brightness
FrameNreadsZeropointsMag plots Spatial mag deviation Spatial sky 16325A emission deviations (filled: sky, open: star) Spatial sky continuum emission Spatial sky telluric CO2 absorption deviations (filled: H < 10)
0 0
RedGreenBlue
z17.64
znorm Inf
sky -Inf -Inf -Inf
S/N 27.8 46.0 48.6
S/N(c) 0.0 0.0 0.0
SN(E/C) 0.84

IPAIRNAMESHIFTNEWSHIFTS/N NAMESHIFTNEWSHIFTS/N
0 10100014 0.473115 0.00000 18.9602 10100015 0.00294720 0.470168 19.0098
1 10100018 0.473095 1.99974e-05 19.1227 10100019 0.00407335 0.469042 19.1183
2 10100013 0.472394 0.000721008 19.1133 10100012 0.00000 0.473115 19.0785
3 10100017 0.472668 0.000447005 19.0717 10100016 0.00314693 0.469968 19.0300