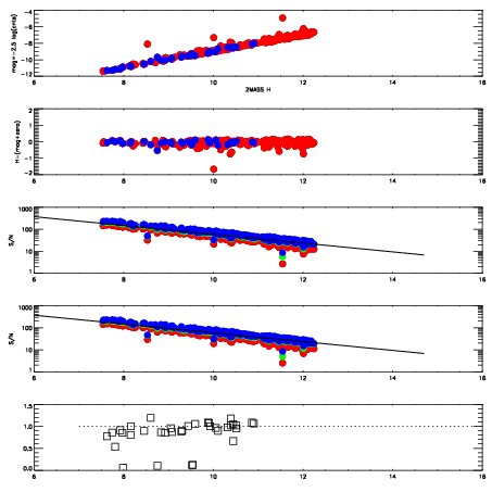
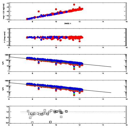
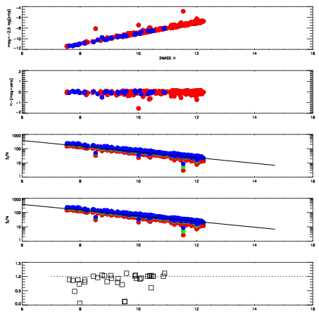
Frame | Nreads | Zeropoints | Mag plots
| Spatial mag deviation
| Spatial sky 16325A emission deviations (filled: sky, open: star)
| Spatial sky continuum emission
| Spatial sky telluric CO2 absorption deviations (filled: H < 10)
|
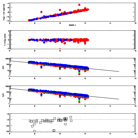
10160013
| 47
| | Red | Green | Blue
| z | | 19.00
| znorm | | 14.82
| sky | 14.5 | 14.1 | 13.9
| S/N | 15.4 | 24.2 | 25.2
| S/N(c) | 18.5 | 14.7 | 24.2
| SN(E/C) | 0.94
|
|
|
|
|
|
|
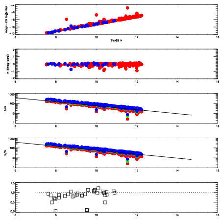
10160014
| 47
| | Red | Green | Blue
| z | | 18.98
| znorm | | 14.80
| sky | 14.3 | 14.3 | 14.2
| S/N | 14.7 | 24.2 | 25.1
| S/N(c) | 17.6 | 14.4 | 23.9
| SN(E/C) | 0.91
|
|
|
|
|
|
|
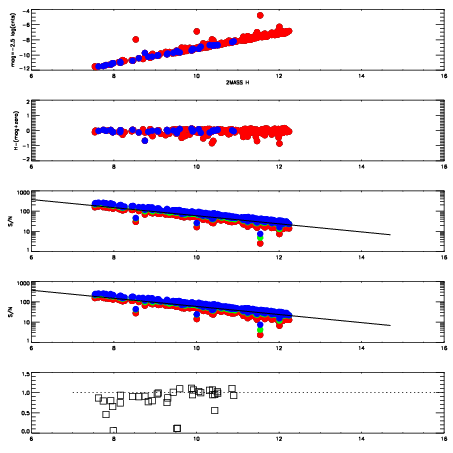
10160015
| 47
| | Red | Green | Blue
| z | | 19.03
| znorm | | 14.85
| sky | 14.4 | 14.2 | 14.2
| S/N | 15.2 | 24.8 | 25.7
| S/N(c) | 18.3 | 14.9 | 24.4
| SN(E/C) | 0.92
|
|
|
|
|
|
|
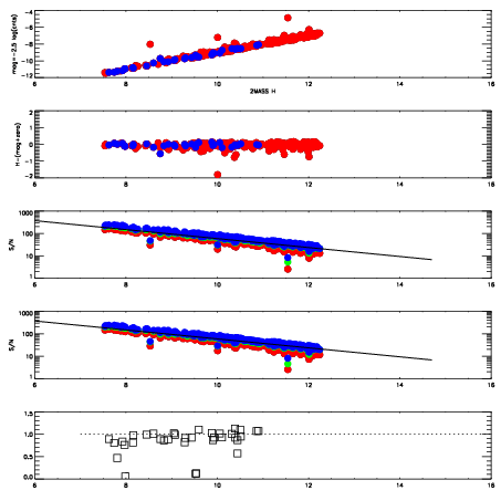
10160016
| 47
| | Red | Green | Blue
| z | | 19.14
| znorm | | 14.96
| sky | 14.4 | 14.3 | 14.3
| S/N | 16.2 | 26.2 | 27.5
| S/N(c) | 19.3 | 15.7 | 25.9
| SN(E/C) | 0.92
|
|
|
|
|
|
|
10160017
| 47
| | Red | Green | Blue
| z | | 19.16
| znorm | | 14.98
| sky | 14.5 | 14.4 | 14.3
| S/N | 16.4 | 26.4 | 27.8
| S/N(c) | 19.6 | 16.0 | 26.3
| SN(E/C) | 0.92
|
|
|
|
|
|
|
10160018
| 47
| | Red | Green | Blue
| z | | 19.20
| znorm | | 15.02
| sky | 14.4 | 14.3 | 14.3
| S/N | 16.9 | 27.1 | 28.7
| S/N(c) | 19.8 | 16.2 | 26.8
| SN(E/C) | 0.89
|
|
|
|
|
|
|
10160019
| 47
| | Red | Green | Blue
| z | | 19.15
| znorm | | 14.97
| sky | 14.6 | 14.4 | 14.5
| S/N | 16.3 | 26.3 | 27.9
| S/N(c) | 19.2 | 15.9 | 26.3
| SN(E/C) | 0.93
|
|
|
|
|
|
|
10160020
| 47
| | Red | Green | Blue
| z | | 19.14
| znorm | | 14.96
| sky | 14.7 | 14.4 | 14.4
| S/N | 16.2 | 25.9 | 27.4
| S/N(c) | 19.1 | 15.7 | 26.0
| SN(E/C) | 0.87
|
|
|
|
|
|
|