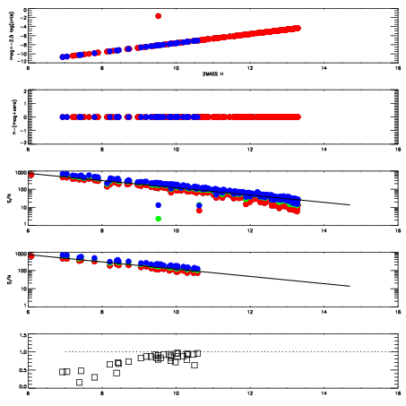
Left plots: red are targets, blue are telluric. Observed mags are calculated from median value of green chip. Zeropoint gives overall throughput: bigger number is more throughput.
First spatial plots: circles are objects, squares are tellurics, crosses are sky fibers. Colors give deviation of observed mag from expected 2MASS mag using the median zeropoint; red is brighter
Second spatial plots: circles are sky fibers. Colors give sky line brightness relative to plate median sky line brightness
FrameNreadsZeropointsMag plots Spatial mag deviation Spatial sky 16325A emission deviations (filled: sky, open: star) Spatial sky continuum emission Spatial sky telluric CO2 absorption deviations (filled: H < 10)
0 0
RedGreenBlue
z17.64
znorm Inf
sky -Inf -Inf -Inf
S/N 33.0 55.9 58.7
S/N(c) 0.0 0.0 0.0
SN(E/C) 0.84

IPAIRNAMESHIFTNEWSHIFTS/N NAMESHIFTNEWSHIFTS/N
0 06680038 0.485451 0.00000 19.1532 06680036 0.00231001 0.483141 19.1858
1 06680034 0.483250 0.00220102 19.2108 06680035 0.00167421 0.483777 19.2078
2 06680033 0.482683 0.00276801 19.2048 06680032 0.00000 0.485451 19.1943
3 06680037 0.484160 0.00129101 19.1506 06680039 0.000650616 0.484800 19.1359