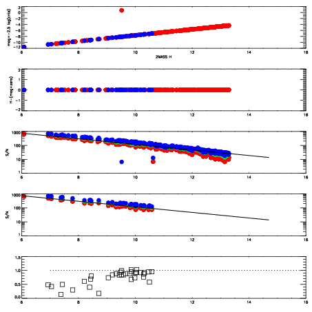
Left plots: red are targets, blue are telluric. Observed mags are calculated from median value of green chip. Zeropoint gives overall throughput: bigger number is more throughput.
First spatial plots: circles are objects, squares are tellurics, crosses are sky fibers. Colors give deviation of observed mag from expected 2MASS mag using the median zeropoint; red is brighter
Second spatial plots: circles are sky fibers. Colors give sky line brightness relative to plate median sky line brightness
FrameNreadsZeropointsMag plots Spatial mag deviation Spatial sky 16325A emission deviations (filled: sky, open: star) Spatial sky continuum emission Spatial sky telluric CO2 absorption deviations (filled: H < 10)
0 0
RedGreenBlue
z17.64
znorm Inf
sky -Inf -NaN -Inf
S/N 33.7 54.5 58.1
S/N(c) 0.0 0.0 0.0
SN(E/C) 0.84

IPAIRNAMESHIFTNEWSHIFTS/N NAMESHIFTNEWSHIFTS/N
0 06990012 0.484937 0.00000 19.2288 06990014 0.00183074 0.483106 19.2340
1 06990016 0.484341 0.000596017 19.2357 06990017 0.00212448 0.482813 19.2521
2 06990015 0.480686 0.00425100 19.2276 06990013 0.00121383 0.483723 19.2229
3 06990011 0.482400 0.00253701 19.1953 06990010 0.00000 0.484937 19.1913