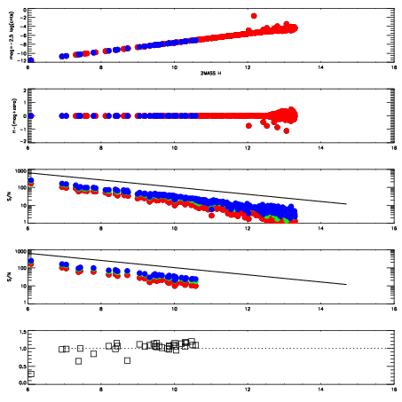
Left plots: red are targets, blue are telluric. Observed mags are calculated from median value of green chip. Zeropoint gives overall throughput: bigger number is more throughput.
First spatial plots: circles are objects, squares are tellurics, crosses are sky fibers. Colors give deviation of observed mag from expected 2MASS mag using the median zeropoint; red is brighter
Second spatial plots: circles are sky fibers. Colors give sky line brightness relative to plate median sky line brightness
FrameNreadsZeropointsMag plots Spatial mag deviation Spatial sky 16325A emission deviations (filled: sky, open: star) Spatial sky continuum emission Spatial sky telluric CO2 absorption deviations (filled: H < 10)
0 0
RedGreenBlue
z17.64
znorm Inf
sky -Inf -Inf -Inf
S/N 3.7 8.1 7.9
S/N(c) 0.0 0.0 0.0
SN(E/C) 1.06

IPAIRNAMESHIFTNEWSHIFTS/N NAMESHIFTNEWSHIFTS/N
0 10270035 0.491886 0.00000 15.8578 10270037 -0.00122076 0.493107 15.1867
1 10270034 0.491147 0.000738978 17.3225 10270033 0.00000 0.491886 16.8845
2 10270038 0.490427 0.00145900 15.4032 10270036 -0.000936940 0.492823 15.1518