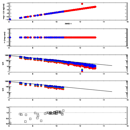
Left plots: red are targets, blue are telluric. Observed mags are calculated from median value of green chip. Zeropoint gives overall throughput: bigger number is more throughput.
First spatial plots: circles are objects, squares are tellurics, crosses are sky fibers. Colors give deviation of observed mag from expected 2MASS mag using the median zeropoint; red is brighter
Second spatial plots: circles are sky fibers. Colors give sky line brightness relative to plate median sky line brightness
FrameNreadsZeropointsMag plots Spatial mag deviation Spatial sky 16325A emission deviations (filled: sky, open: star) Spatial sky continuum emission Spatial sky telluric CO2 absorption deviations (filled: H < 10)
0 0
RedGreenBlue
z17.63
znorm Inf
sky -NaN -NaN -NaN
S/N 14.9 28.7 29.0
S/N(c) 0.0 0.0 0.0
SN(E/C) 0.95

IPAIRNAMESHIFTNEWSHIFTS/N NAMESHIFTNEWSHIFTS/N
0 10370028 0.517239 0.00000 18.0957 10370030 0.000258917 0.516980 18.1581
1 10370031 0.516562 0.000676990 18.1880 10370029 0.000349226 0.516890 18.2557
2 10370032 0.517022 0.000216961 17.9422 10370033 0.00162364 0.515615 18.0274
3 10370027 0.517141 9.79900e-05 17.8953 10370026 0.00000 0.517239 17.9392