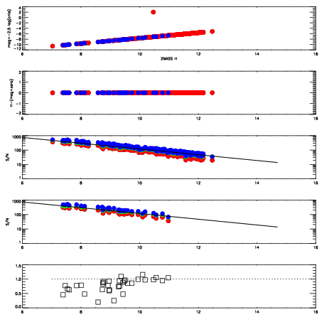
Left plots: red are targets, blue are telluric. Observed mags are calculated from median value of green chip. Zeropoint gives overall throughput: bigger number is more throughput.
First spatial plots: circles are objects, squares are tellurics, crosses are sky fibers. Colors give deviation of observed mag from expected 2MASS mag using the median zeropoint; red is brighter
Second spatial plots: circles are sky fibers. Colors give sky line brightness relative to plate median sky line brightness
FrameNreadsZeropointsMag plots Spatial mag deviation Spatial sky 16325A emission deviations (filled: sky, open: star) Spatial sky continuum emission Spatial sky telluric CO2 absorption deviations (filled: H < 10)
0 0
RedGreenBlue
z17.64
znorm Inf
sky -Inf -Inf -Inf
S/N 28.4 46.8 48.9
S/N(c) 0.0 0.0 0.0
SN(E/C) 0.85

IPAIRNAMESHIFTNEWSHIFTS/N NAMESHIFTNEWSHIFTS/N
0 06660031 0.489392 0.00000 19.0148 06660025 0.00000 0.489392 18.9985
1 06660030 0.489265 0.000127017 19.0272 06660028 0.0104173 0.478975 19.0192
2 06660027 0.489298 9.40263e-05 18.9474 06660029 0.00294453 0.486447 18.9960
3 06660026 0.488936 0.000456005 18.8934 06660032 0.00992709 0.479465 18.9925