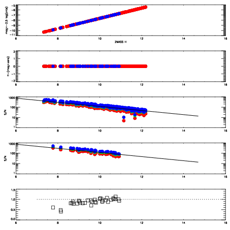
Left plots: red are targets, blue are telluric. Observed mags are calculated from median value of green chip. Zeropoint gives overall throughput: bigger number is more throughput.
First spatial plots: circles are objects, squares are tellurics, crosses are sky fibers. Colors give deviation of observed mag from expected 2MASS mag using the median zeropoint; red is brighter
Second spatial plots: circles are sky fibers. Colors give sky line brightness relative to plate median sky line brightness
FrameNreadsZeropointsMag plots Spatial mag deviation Spatial sky 16325A emission deviations (filled: sky, open: star) Spatial sky continuum emission Spatial sky telluric CO2 absorption deviations (filled: H < 10)
0 0
RedGreenBlue
z17.64
znorm Inf
sky -NaN -NaN -Inf
S/N 28.7 47.0 50.6
S/N(c) 0.0 0.0 0.0
SN(E/C) 0.89

IPAIRNAMESHIFTNEWSHIFTS/N NAMESHIFTNEWSHIFTS/N
0 06940012 0.498387 0.00000 18.9794 06940018 0.000552800 0.497834 19.0075
1 06940016 0.496955 0.00143200 19.1147 06940015 -0.000354467 0.498741 19.0891
2 06940017 0.497362 0.00102502 19.0897 06940014 0.000865882 0.497521 19.0622
3 06940013 0.498380 7.00355e-06 18.9881 06940011 0.00000 0.498387 19.0101