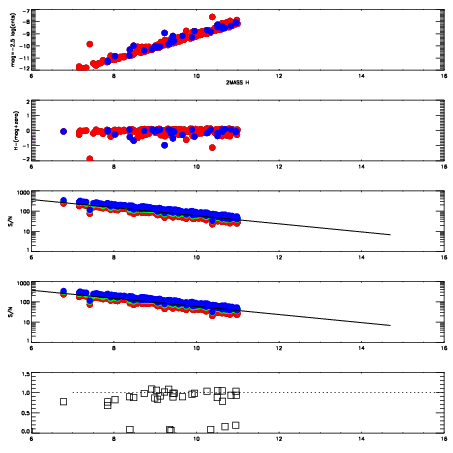
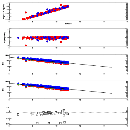
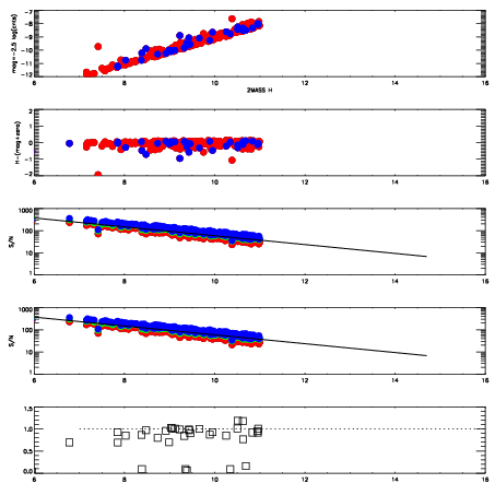
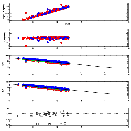
Left plots: red are targets, blue are telluric. Observed mags are calculated from median value of green chip. Zeropoint gives overall throughput: bigger number is more throughput.
First spatial plots: circles are objects, squares are tellurics, crosses are sky fibers. Colors give deviation of observed mag from expected 2MASS mag using the median zeropoint; red is brighter
Second spatial plots: circles are sky fibers. Colors give sky line brightness relative to plate median sky line brightness
FrameNreadsZeropointsMag plots Spatial mag deviation Spatial sky 16325A emission deviations (filled: sky, open: star) Spatial sky continuum emission Spatial sky telluric CO2 absorption deviations (filled: H < 10)
8020037 47
RedGreenBlue
z19.06
znorm14.88
sky 14.7 14.3 14.0
S/N 18.6 26.5 28.6
S/N(c) 27.7 18.8 39.0
SN(E/C) 0.91
8020038 47
RedGreenBlue
z19.08
znorm14.90
sky 14.4 14.2 14.2
S/N 18.3 26.5 29.1
S/N(c) 27.5 18.7 38.7
SN(E/C) 0.91
8020039 47
RedGreenBlue
z19.13
znorm14.95
sky 14.1 14.1 14.1
S/N 19.0 27.4 30.0
S/N(c) 28.2 19.1 39.6
SN(E/C) 0.91
8020040 47
RedGreenBlue
z19.13
znorm14.95
sky 13.4 13.2 12.9
S/N 18.4 26.3 28.6
S/N(c) 27.8 19.0 39.3
SN(E/C) 0.89