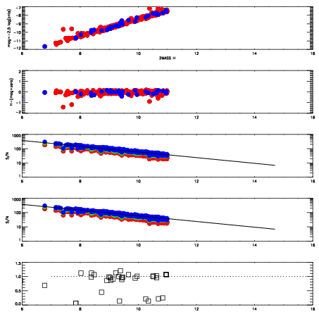
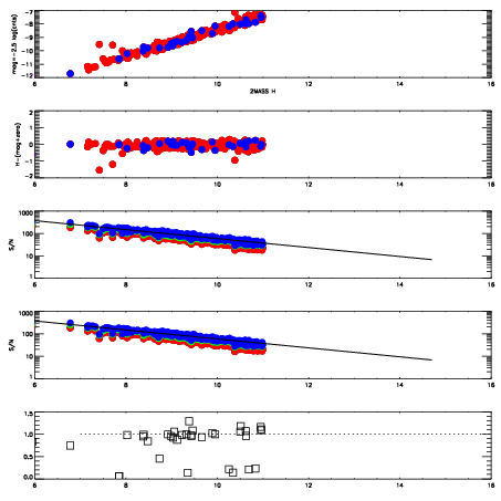
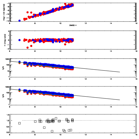
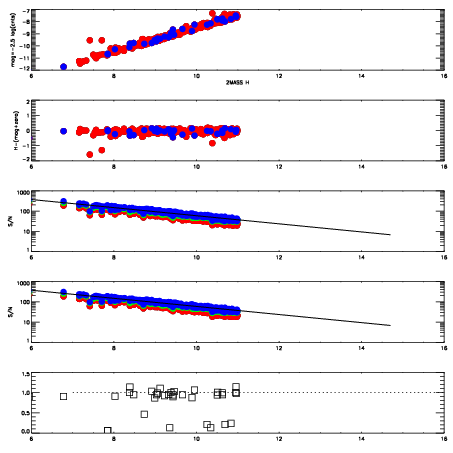
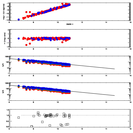
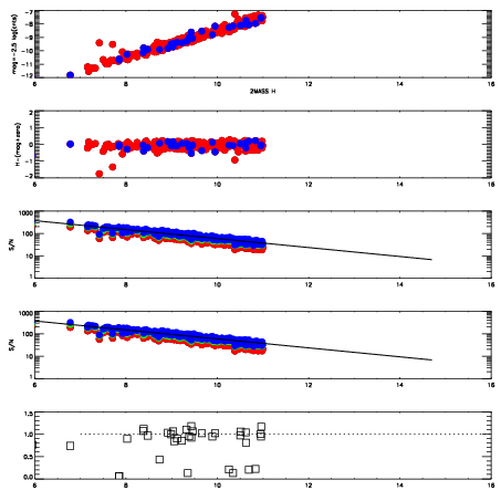
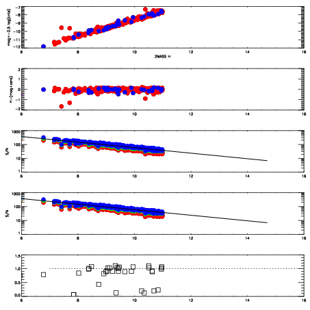
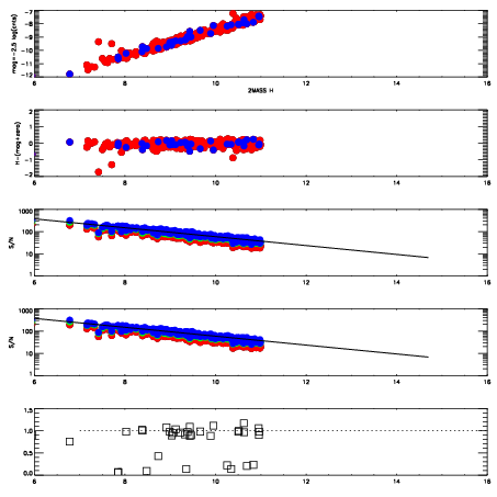
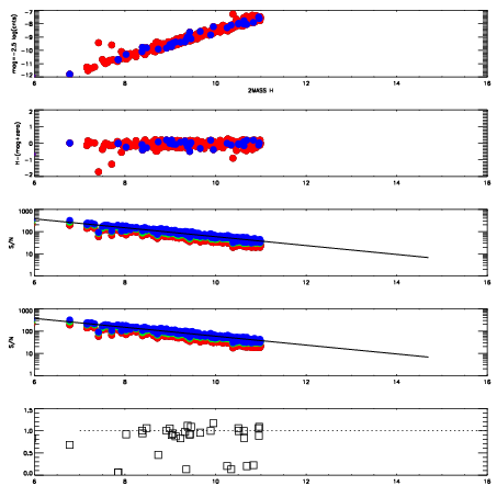
Frame | Nreads | Zeropoints | Mag plots
| Spatial mag deviation
| Spatial sky 16325A emission deviations (filled: sky, open: star)
| Spatial sky continuum emission
| Spatial sky telluric CO2 absorption deviations (filled: H < 10)
|
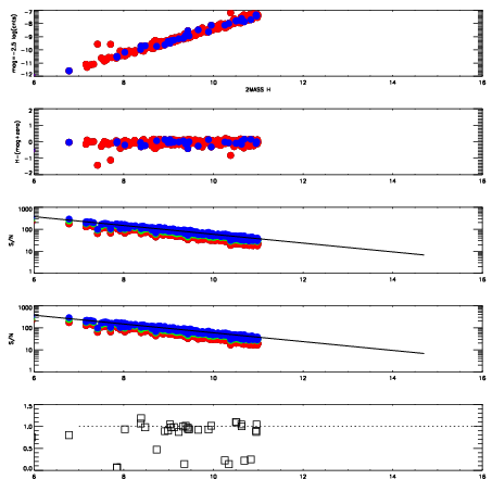
8760048
| 47
| | Red | Green | Blue
| z | | 18.50
| znorm | | 14.32
| sky | 14.5 | 14.3 | 14.4
| S/N | 13.3 | 20.0 | 20.8
| S/N(c) | 20.9 | 27.3 | 16.0
| SN(E/C) | 0.94
|
|
|
|
|
|
|
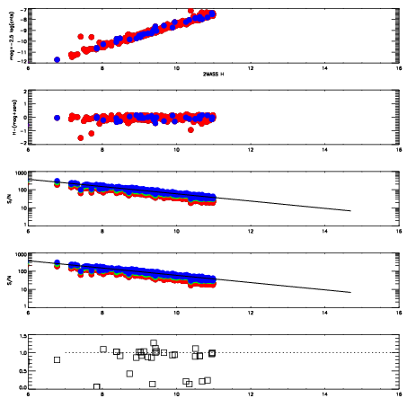
8760049
| 47
| | Red | Green | Blue
| z | | 18.58
| znorm | | 14.40
| sky | 14.4 | 14.3 | 14.5
| S/N | 13.7 | 20.8 | 22.0
| S/N(c) | 21.6 | 28.2 | 16.6
| SN(E/C) | 0.95
|
|
|
|
|
|
|
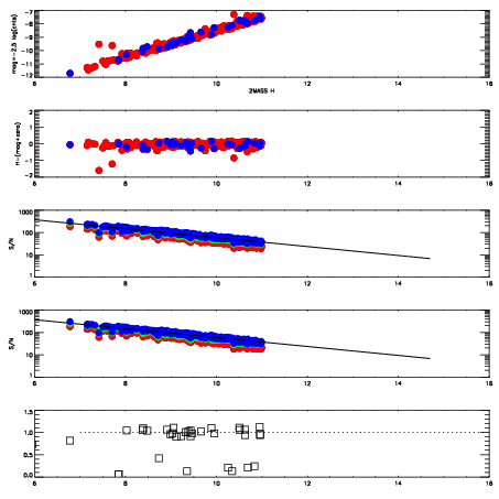
8760050
| 47
| | Red | Green | Blue
| z | | 18.47
| znorm | | 14.29
| sky | 14.5 | 14.3 | 14.6
| S/N | 12.8 | 19.6 | 21.0
| S/N(c) | 20.6 | 27.1 | 16.1
| SN(E/C) | 0.96
|
|
|
|
|
|
|
8760051
| 47
| | Red | Green | Blue
| z | | 18.56
| znorm | | 14.38
| sky | 14.4 | 14.3 | 14.6
| S/N | 13.4 | 20.6 | 22.4
| S/N(c) | 21.5 | 28.3 | 16.8
| SN(E/C) | 0.92
|
|
|
|
|
|
|
8760052
| 47
| | Red | Green | Blue
| z | | 18.56
| znorm | | 14.38
| sky | 14.3 | 14.3 | 14.5
| S/N | 13.5 | 20.8 | 22.1
| S/N(c) | 21.3 | 28.0 | 16.8
| SN(E/C) | 0.93
|
|
|
|
|
|
|
8760053
| 47
| | Red | Green | Blue
| z | | 18.40
| znorm | | 14.22
| sky | 14.4 | 14.4 | 14.7
| S/N | 12.4 | 18.8 | 20.5
| S/N(c) | 19.6 | 26.1 | 15.6
| SN(E/C) | 0.93
|
|
|
|
|
|
|
8760054
| 47
| | Red | Green | Blue
| z | | 18.51
| znorm | | 14.33
| sky | 14.6 | 14.4 | 14.7
| S/N | 13.1 | 20.4 | 21.8
| S/N(c) | 20.8 | 27.0 | 16.5
| SN(E/C) | 0.92
|
|
|
|
|
|
|
8760055
| 47
| | Red | Green | Blue
| z | | 18.62
| znorm | | 14.44
| sky | 14.4 | 14.5 | 14.6
| S/N | 14.1 | 21.3 | 23.2
| S/N(c) | 21.9 | 28.8 | 17.2
| SN(E/C) | 0.91
|
|
|
|
|
|
|
8760056
| 47
| | Red | Green | Blue
| z | | 18.51
| znorm | | 14.33
| sky | 14.4 | 14.4 | 14.6
| S/N | 13.1 | 20.4 | 22.2
| S/N(c) | 21.1 | 27.2 | 16.5
| SN(E/C) | 0.93
|
|
|
|
|
|
|
8760057
| 47
| | Red | Green | Blue
| z | | 18.53
| znorm | | 14.35
| sky | 14.5 | 14.6 | 14.7
| S/N | 13.6 | 20.6 | 22.4
| S/N(c) | 21.2 | 27.9 | 16.7
| SN(E/C) | 0.94
|
|
|
|
|
|
|
8760058
| 47
| | Red | Green | Blue
| z | | 18.48
| znorm | | 14.30
| sky | 14.5 | 14.6 | 14.7
| S/N | 13.2 | 20.5 | 21.9
| S/N(c) | 20.8 | 26.8 | 16.4
| SN(E/C) | 0.97
|
|
|
|
|
|
|
8760059
| 47
| | Red | Green | Blue
| z | | 18.54
| znorm | | 14.36
| sky | 14.6 | 14.6 | 14.8
| S/N | 13.4 | 21.1 | 22.4
| S/N(c) | 21.3 | 27.9 | 16.7
| SN(E/C) | 0.98
|
|
|
|
|
|
|