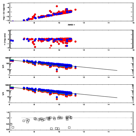
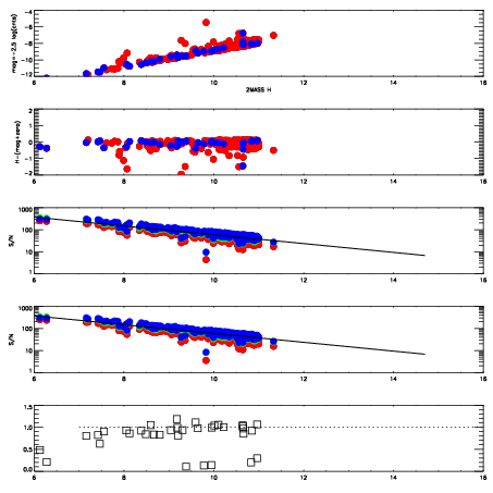
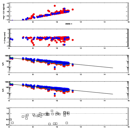
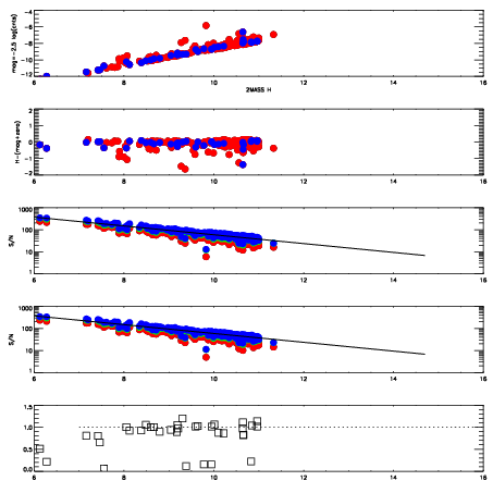
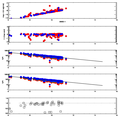
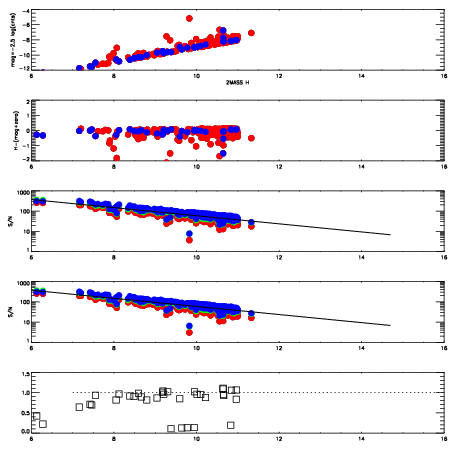
Frame | Nreads | Zeropoints | Mag plots
| Spatial mag deviation
| Spatial sky 16325A emission deviations (filled: sky, open: star)
| Spatial sky continuum emission
| Spatial sky telluric CO2 absorption deviations (filled: H < 10)
|
8760074
| 47
| | Red | Green | Blue
| z | | 18.64
| znorm | | 14.46
| sky | 14.6 | 14.3 | 14.6
| S/N | 10.8 | 16.5 | 16.3
| S/N(c) | 12.0 | 12.5 | 12.7
| SN(E/C) | 0.93
|
|
|
|
|
|
|
8760075
| 47
| | Red | Green | Blue
| z | | 18.56
| znorm | | 14.38
| sky | 14.9 | 14.5 | 14.8
| S/N | 9.8 | 15.7 | 15.6
| S/N(c) | 10.9 | 10.7 | 11.0
| SN(E/C) | 1.14
|
|
|
|
|
|
|
8760076
| 47
| | Red | Green | Blue
| z | | 18.78
| znorm | | 14.60
| sky | 14.7 | 14.4 | 14.6
| S/N | 11.3 | 17.6 | 17.8
| S/N(c) | 12.5 | 12.2 | 12.8
| SN(E/C) | 1.06
|
|
|
|
|
|
|
8760077
| 47
| | Red | Green | Blue
| z | | 18.76
| znorm | | 14.58
| sky | 14.6 | 14.5 | 14.7
| S/N | 11.0 | 17.0 | 17.5
| S/N(c) | 12.5 | 13.2 | 13.6
| SN(E/C) | 0.91
|
|
|
|
|
|
|
8760078
| 47
| | Red | Green | Blue
| z | | 18.92
| znorm | | 14.74
| sky | 14.8 | 14.4 | 14.5
| S/N | 11.8 | 18.1 | 18.7
| S/N(c) | 13.6 | 14.2 | 14.7
| SN(E/C) | 0.92
|
|
|
|
|
|
|
8760079
| 47
| | Red | Green | Blue
| z | | 18.86
| znorm | | 14.68
| sky | 14.7 | 14.5 | 14.6
| S/N | 11.4 | 17.6 | 18.3
| S/N(c) | 13.2 | 13.9 | 14.2
| SN(E/C) | 0.92
|
|
|
|
|
|
|
8760080
| 47
| | Red | Green | Blue
| z | | 18.84
| znorm | | 14.66
| sky | 14.6 | 14.6 | 14.6
| S/N | 11.0 | 17.2 | 18.1
| S/N(c) | 13.1 | 13.8 | 14.0
| SN(E/C) | 0.91
|
|
|
|
|
|
|
8760081
| 47
| | Red | Green | Blue
| z | | 18.93
| znorm | | 14.75
| sky | 14.5 | 14.6 | 14.5
| S/N | 11.8 | 18.2 | 19.1
| S/N(c) | 13.8 | 14.4 | 14.7
| SN(E/C) | 0.90
|
|
|
|
|
|
|
8760082
| 47
| | Red | Green | Blue
| z | | 18.96
| znorm | | 14.78
| sky | 14.5 | 14.5 | 14.5
| S/N | 11.6 | 18.1 | 19.0
| S/N(c) | 14.1 | 14.7 | 15.0
| SN(E/C) | 0.90
|
|
|
|
|
|
|
8760083
| 47
| | Red | Green | Blue
| z | | 19.03
| znorm | | 14.85
| sky | 14.6 | 14.6 | 14.4
| S/N | 12.1 | 18.6 | 19.6
| S/N(c) | 14.6 | 15.2 | 15.6
| SN(E/C) | 0.91
|
|
|
|
|
|
|