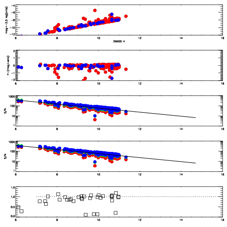
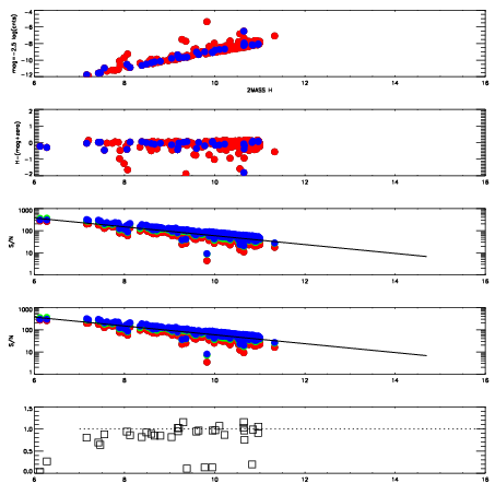
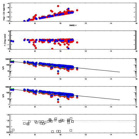
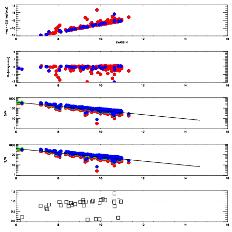
Frame | Nreads | Zeropoints | Mag plots
| Spatial mag deviation
| Spatial sky 16325A emission deviations (filled: sky, open: star)
| Spatial sky continuum emission
| Spatial sky telluric CO2 absorption deviations (filled: H < 10)
|
8770069
| 47
| | Red | Green | Blue
| z | | 19.01
| znorm | | 14.83
| sky | 14.5 | 14.3 | 14.3
| S/N | 12.0 | 18.6 | 18.6
| S/N(c) | 14.6 | 15.0 | 15.2
| SN(E/C) | 0.91
|
|
|
|
|
|
|
8770070
| 47
| | Red | Green | Blue
| z | | 19.05
| znorm | | 14.87
| sky | 14.5 | 14.4 | 14.6
| S/N | 12.5 | 18.9 | 19.5
| S/N(c) | 15.0 | 15.3 | 15.6
| SN(E/C) | 0.90
|
|
|
|
|
|
|
8770071
| 47
| | Red | Green | Blue
| z | | 18.97
| znorm | | 14.78
| sky | 14.8 | 14.5 | 14.6
| S/N | 11.9 | 18.2 | 18.8
| S/N(c) | 13.9 | 13.6 | 14.1
| SN(E/C) | 1.04
|
|
|
|
|
|
|
8770072
| 47
| | Red | Green | Blue
| z | | 18.97
| znorm | | 14.79
| sky | 14.5 | 14.5 | 14.6
| S/N | 11.9 | 18.3 | 18.9
| S/N(c) | 14.2 | 14.7 | 15.0
| SN(E/C) | 0.90
|
|
|
|
|
|
|
8770073
| 47
| | Red | Green | Blue
| z | | 18.98
| znorm | | 14.80
| sky | 14.5 | 14.5 | 14.6
| S/N | 12.1 | 18.6 | 19.4
| S/N(c) | 14.3 | 14.7 | 15.1
| SN(E/C) | 0.91
|
|
|
|
|
|
|
8770074
| 47
| | Red | Green | Blue
| z | | 18.97
| znorm | | 14.79
| sky | 14.7 | 14.5 | 14.5
| S/N | 11.9 | 18.1 | 18.8
| S/N(c) | 14.2 | 14.7 | 15.1
| SN(E/C) | 0.89
|
|
|
|
|
|
|
8770075
| 47
| | Red | Green | Blue
| z | | 18.85
| znorm | | 14.67
| sky | 14.5 | 14.6 | 14.6
| S/N | 11.3 | 17.5 | 18.4
| S/N(c) | 13.3 | 13.9 | 14.3
| SN(E/C) | 0.93
|
|
|
|
|
|
|
8770076
| 47
| | Red | Green | Blue
| z | | 18.91
| znorm | | 14.73
| sky | 14.4 | 14.4 | 14.4
| S/N | 11.6 | 17.9 | 18.9
| S/N(c) | 13.6 | 14.2 | 14.7
| SN(E/C) | 0.91
|
|
|
|
|
|
|