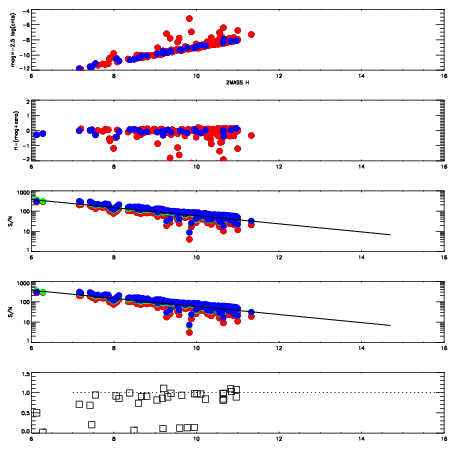
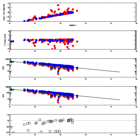
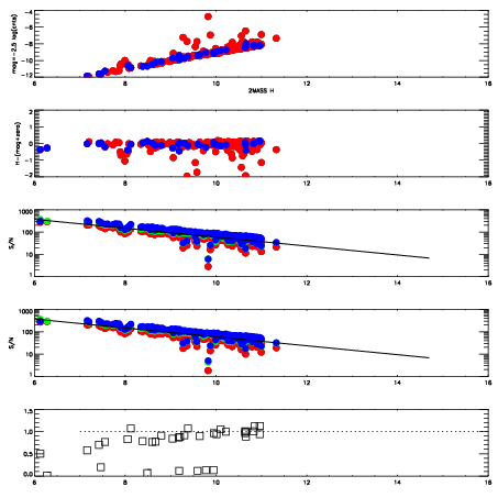
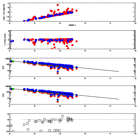
Frame | Nreads | Zeropoints | Mag plots
| Spatial mag deviation
| Spatial sky 16325A emission deviations (filled: sky, open: star)
| Spatial sky continuum emission
| Spatial sky telluric CO2 absorption deviations (filled: H < 10)
|
8800024
| 47
| | Red | Green | Blue
| z | | 18.92
| znorm | | 14.74
| sky | 14.6 | 14.3 | 14.2
| S/N | 13.7 | 21.5 | 20.9
| S/N(c) | 20.1 | 28.2 | 30.6
| SN(E/C) | 0.93
|
|
|
|
|
|
|
8800025
| 47
| | Red | Green | Blue
| z | | 18.96
| znorm | | 14.78
| sky | 14.6 | 14.5 | 14.5
| S/N | 13.9 | 22.1 | 21.9
| S/N(c) | 20.4 | 28.6 | 31.2
| SN(E/C) | 0.89
|
|
|
|
|
|
|
8800026
| 47
| | Red | Green | Blue
| z | | 19.02
| znorm | | 14.84
| sky | 14.8 | 14.5 | 14.6
| S/N | 14.2 | 22.2 | 22.4
| S/N(c) | 21.0 | 29.4 | 32.2
| SN(E/C) | 0.89
|
|
|
|
|
|
|
8800027
| 47
| | Red | Green | Blue
| z | | 19.02
| znorm | | 14.84
| sky | 14.7 | 14.5 | 14.7
| S/N | 14.5 | 22.8 | 23.0
| S/N(c) | 21.0 | 29.4 | 32.3
| SN(E/C) | 0.88
|
|
|
|
|
|
|
8800028
| 47
| | Red | Green | Blue
| z | | 18.98
| znorm | | 14.80
| sky | 14.7 | 14.6 | 14.7
| S/N | 14.3 | 22.5 | 22.7
| S/N(c) | 20.5 | 29.0 | 31.8
| SN(E/C) | 0.92
|
|
|
|
|
|
|
8800029
| 47
| | Red | Green | Blue
| z | | 19.00
| znorm | | 14.82
| sky | 14.8 | 14.7 | 14.7
| S/N | 14.0 | 22.2 | 22.5
| S/N(c) | 20.7 | 29.2 | 32.3
| SN(E/C) | 0.87
|
|
|
|
|
|
|
8800030
| 47
| | Red | Green | Blue
| z | | 19.04
| znorm | | 14.86
| sky | 14.7 | 14.6 | 14.5
| S/N | 14.3 | 22.4 | 22.7
| S/N(c) | 21.0 | 29.7 | 32.9
| SN(E/C) | 0.87
|
|
|
|
|
|
|
8800031
| 47
| | Red | Green | Blue
| z | | 19.07
| znorm | | 14.89
| sky | 14.6 | 14.6 | 14.6
| S/N | 14.7 | 23.2 | 23.7
| S/N(c) | 21.3 | 30.2 | 33.5
| SN(E/C) | 0.80
|
|
|
|
|
|
|